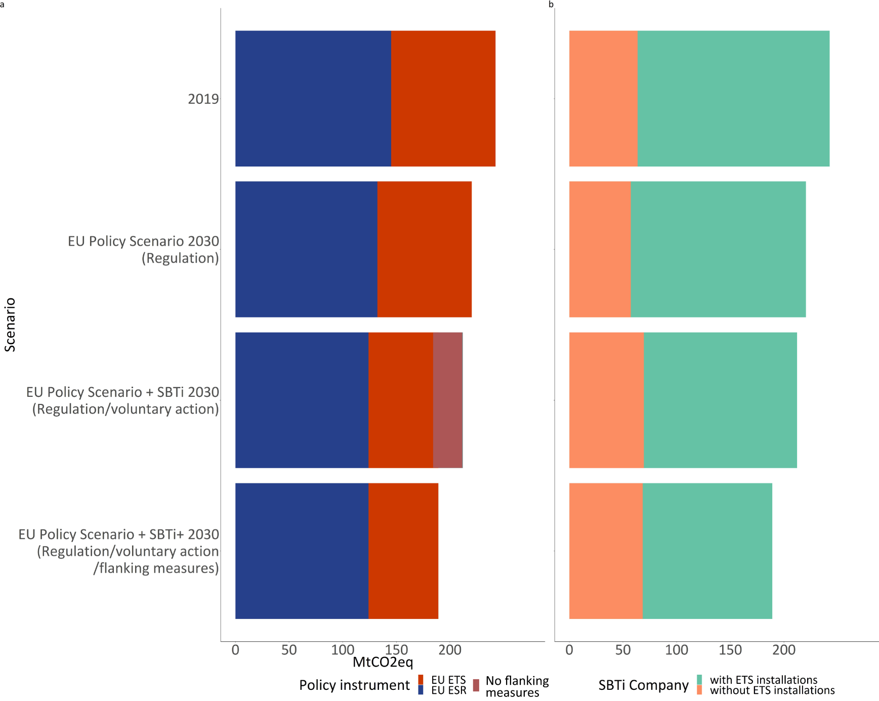
Fig. 2: Projections by 2030 of GHG impact from EU companies within Science Based Targets Initiative in the context of EU polices.

Total GHG emissions in 2019 and 2030 represent historical emissions, projected emissions in the EU 2020 policies scenario, the EU 2020 policies and SBTi scenario, and the EU 2020 policies and SBTi+ scenario. The first represents the projected impact on GHG emissions by 2030 from EU regulation implemented before or in the year 2020, the second scenario additionally includes voluntary SBTi company emissions, while the third one also includes flanking measures to compensate for the ETS waterbed effect by diminishing the availability of allowances in the market. Panels show the results categorised a per policy instrument and b per type of company.