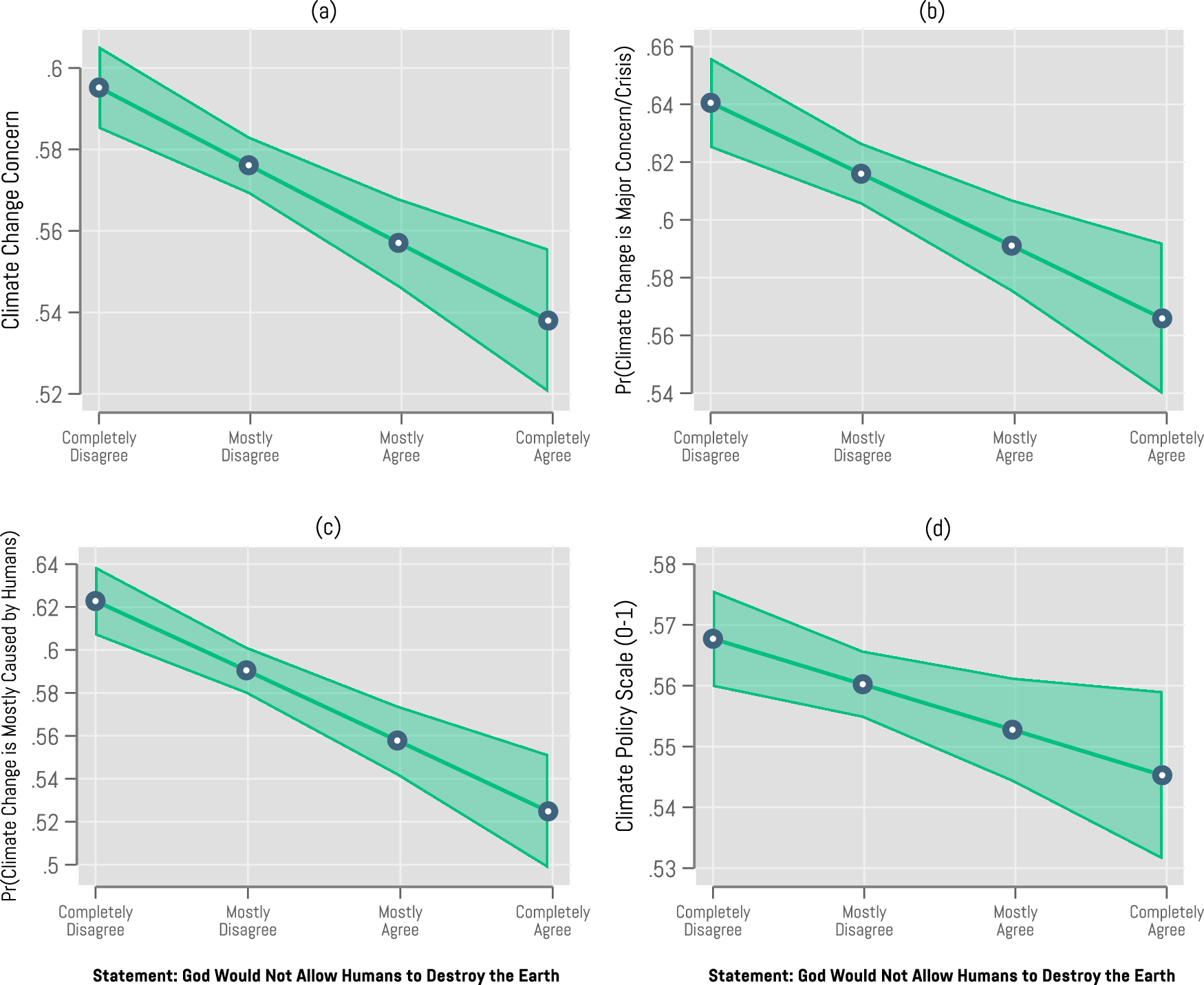
Fig. 1: Greater belief in divine (vs. human) control predicts lower climate concern, belief in human responsibility, and support for climate policies.
From: Belief in divine (versus human) control of earth affects perceived threat of climate change

Panels (a) and (d) are OLS; (b) and (c) are logistic regression. CIs are 95%. All outcomes have been scaled to range from 0 to 1. All models control for race/ethnicity, gender, educational attainment, household income, age, party identification, ideological self-placement, religious identification, and religiosity. Panel (a) shows that greater agreement God is in control of Earth’s climate predicts lower climate concern. Panel (b) shows that greater agreement God is in control of Earth’s climate predicts lower probability of identifying climate change as a major concern or crisis. Panel (c) shows that greater agreement God is in control of Earth’s climate predicts lower belief that climate change is mostly caused by humans. Panel (d) shows that greater agreement God is in control of Earth’s climate predicts lower score on the combined policy scale, which measures support for various policies aimed at combatting climate change. Data from PRRI (2023). N = 5300.