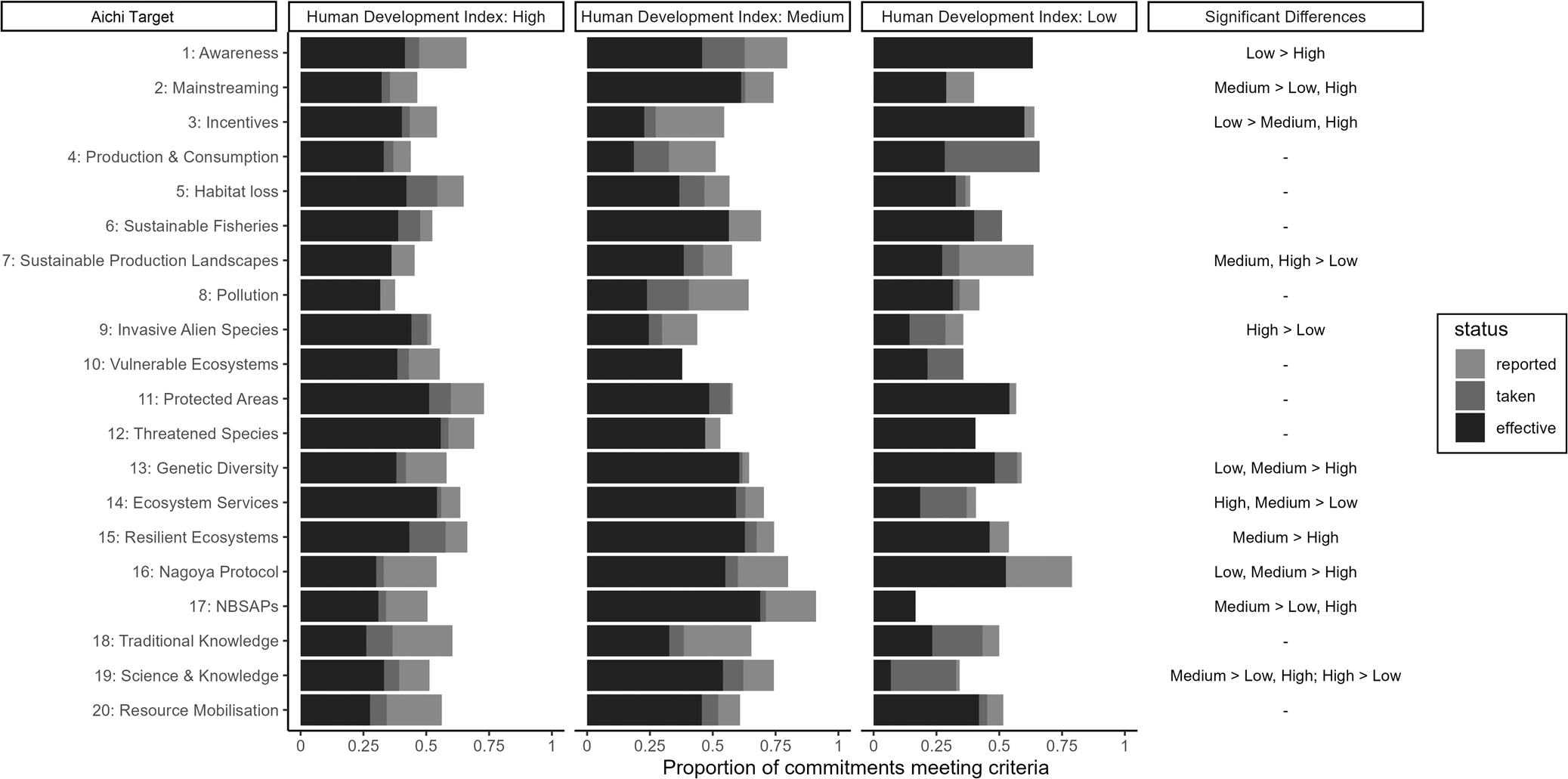
Fig. 2: National implementation of the Aichi targets disaggregated by Human Development Index (HDI) category.

Labels represent where a significant difference was detected between commitments made in each category. On the right, differences among the three HDI groups are displayed, showing where there were significant differences in the proportion of commitments reported as “effective” between Parties in the different groups.