Fig. 1
From: No evidence for niche competition in the extinction of the South American saber-tooth species

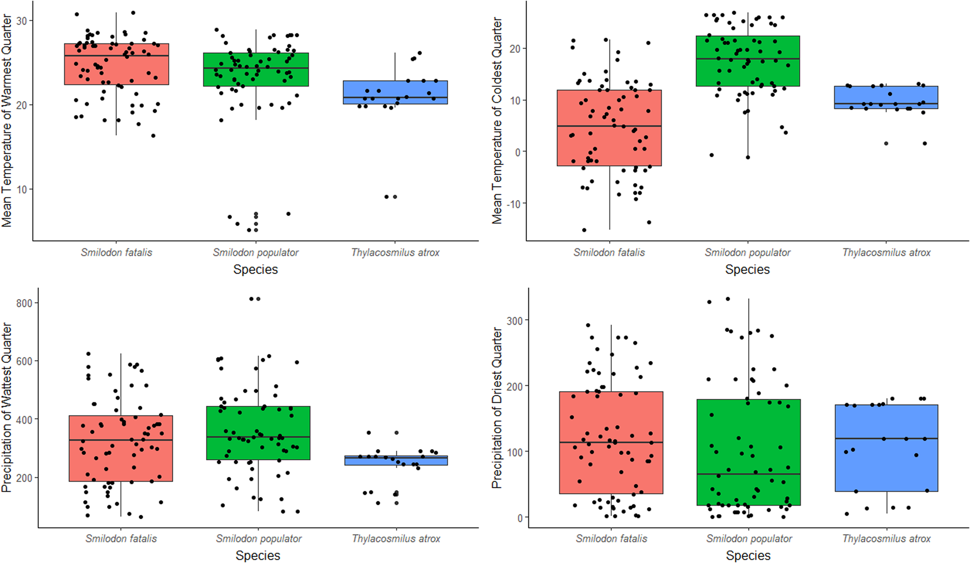
Climatic variation from the occurrence fossil records of South and North American saber-tooth predators.
From: No evidence for niche competition in the extinction of the South American saber-tooth species

Climatic variation from the occurrence fossil records of South and North American saber-tooth predators.