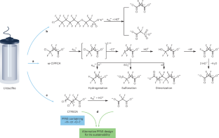
A cost-effective process to achieve defluorination of chlorinated per- and polyfluoroalkyl substances (PFAS) provides valuable insight for sustainable chemical design.
This is a preview of subscription content, access via your institution
Relevant articles
Open Access articles citing this article.
-
The link between ancient microbial fluoride resistance mechanisms and bioengineering organofluorine degradation or synthesis
Nature Communications Open Access 30 May 2024
Access options
Subscribe to this journal
Receive 12 digital issues and online access to articles
$119.00 per year
only $9.92 per issue
Rent or buy this article
Prices vary by article type
from$1.95
to$39.95
Prices may be subject to local taxes which are calculated during checkout

References
Adu, O., Ma, X. & Sharma, V. K. J. Hazad. Mater. 447, 130805 (2023).
Wang, Z., Boucher, J. M., Scheringer, M., Cousins, I. T. & Hungerbühler, K. Environ. Sci. Technol. 51, 4482–4493 (2017).
Wang, J., Cao, C., Zhang, Y., Zhang, Y. & Zhu, L. Appl. Catal. B- Environ. 286, 119911 (2021).
Russell, M. H., Berti, W. R., Szostek, B. & Buck, R. C. Environ Sci Technol. 42, 800–807 (2008).
Fábelová, L. et al. Chemosphere 313, 137530 (2023).
Lei, X. et al. Environ. Pollut. 321, 121138 (2023).
Liu, Z. et al. Environ. Sci. Technol. 56, 3699–3709 (2022).
Liu, Z. et al. Environ. Sci. Technol. 55, 7052–7062 (2021).
Bao, Y., Huang, J., Cagnetta, G. & Yu, G. Water Res. 163, 114907 (2019).
Gao, J. et al. Nat. Water. https://doi.org/10.1038/s44221-023-00046-z (2023).
Author information
Authors and Affiliations
Corresponding authors
Ethics declarations
Competing interests
The authors declare no competing interests.
Rights and permissions
About this article
Cite this article
Zhang, Z., Ma, Y. The path to complete defluorination of PFAS. Nat Water 1, 313–314 (2023). https://doi.org/10.1038/s44221-023-00050-3
Published:
Version of record:
Issue date:
DOI: https://doi.org/10.1038/s44221-023-00050-3
This article is cited by
-
Merits, limitations and innovation priorities for heterogeneous catalytic platforms to destroy PFAS
Nature Water (2025)
-
The link between ancient microbial fluoride resistance mechanisms and bioengineering organofluorine degradation or synthesis
Nature Communications (2024)
-
Lattice engineered nanoscale Fe0 for selective reductions
Nature Water (2024)