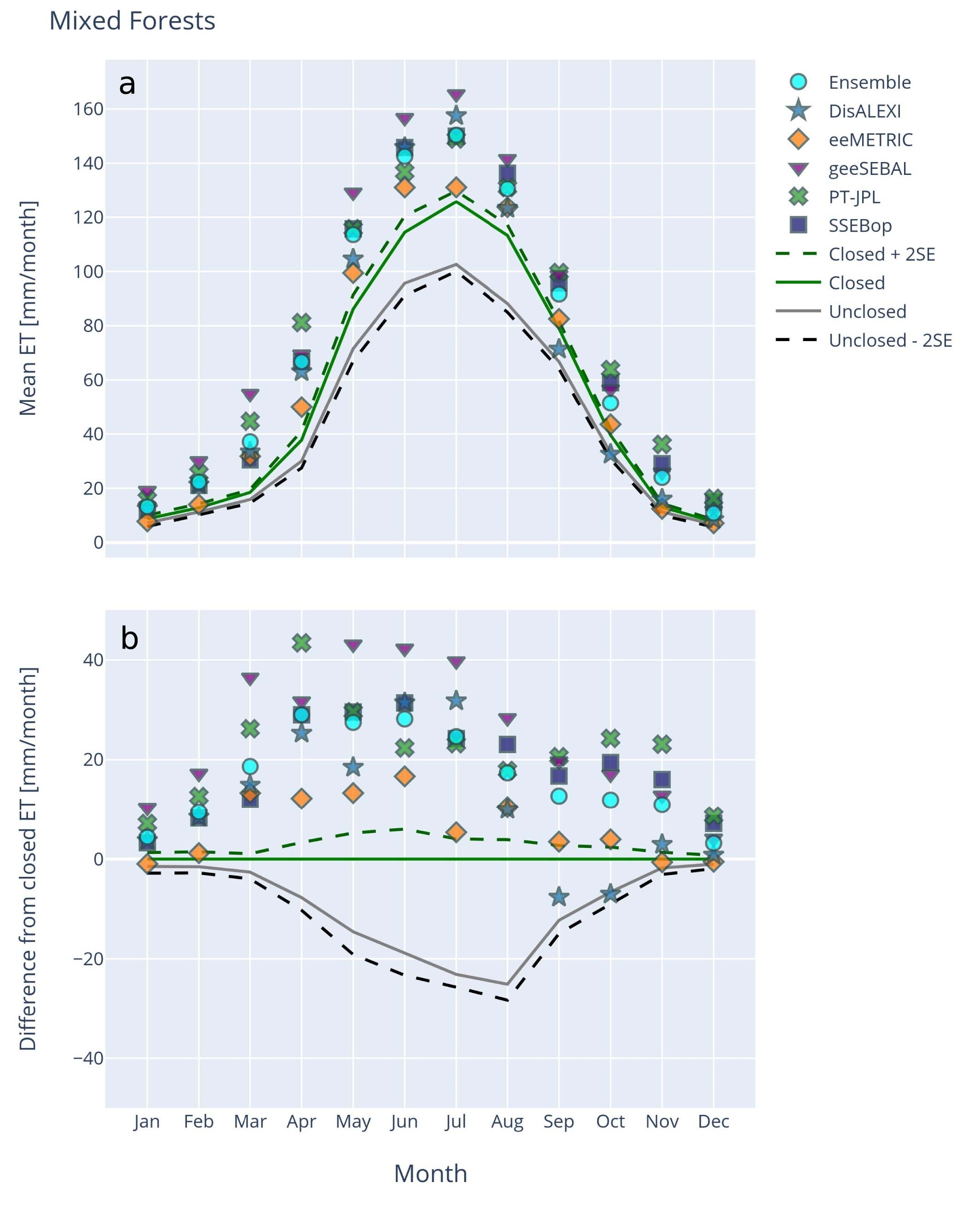
Extended Data Fig. 2: Monthly climatology of paired modeled and observed ET for mixed forest sites.

Subplot (a) shows monthly climatology of paired OpenET5 and flux tower ET19,20 from mixed forested sites. Subplot (b) shows the residual of monthly mean ET (model minus mean closed flux ET). Unclosed and closed labels refer to flux tower ET before and after energy balance closure correction. Dashed lines represent the closed flux ET mean plus two standard errors of the mean and unclosed flux ET mean minus two standard errors of the mean.