Abstract
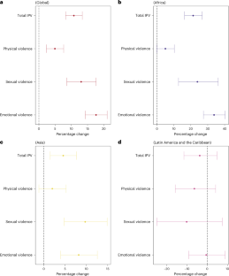
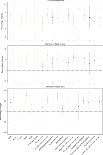
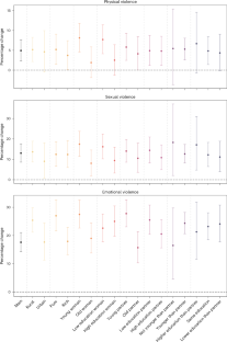
Intimate partner violence (IPV) is a global public health challenge, causing physical and psychological harm to victims. Although studies have explored the impacts of various extreme weather events on IPV, there is still inadequate evidence on the association between flood exposure and IPV on a multi-country or global scale. Therefore, we utilized the Demographic and Health Surveys database to examine this association on a multi-country scale and further explored modification effects of inequality outside and within the household. This study included 340,955 ever-partnered women from 31 low- and middle-income countries across Asia, Africa and Latin America. The results showed that flood exposure was associated with increased prevalence of total IPV (percentage difference 10.78%, 95% confidence interval 8.24–13.38%), physical violence (4.94%, 2.31–7.64%), sexual violence (13.03%, 8.61–17.62%) and emotional violence (17.62%, 14.28–21.06%). We found stronger flood–IPV associations among household with greater inequality. Our findings indicate additional harm associated with flood exposure for women in low- and middle-income countries, emphasizing the role of gender inequality under climate change.
This is a preview of subscription content, access via your institution
Access options
Subscribe to this journal
Receive 12 digital issues and online access to articles
$119.00 per year
only $9.92 per issue
Buy this article
- Purchase on SpringerLink
- Instant access to the full article PDF.
USD 39.95
Prices may be subject to local taxes which are calculated during checkout




Similar content being viewed by others
Data availability
Data on IPV are publicly available from The DHS Program (https://www.dhsprogram.com/). Flood data are publicly available from The Flood Observatory (https://floodobservatory.colorado.edu/). Temperature and precipitation data are obtained from ERA5 (https://cds.climate.copernicus.eu/).
Code availability
Custom code that supports the findings of this study is available from the corresponding author upon request.
References
Intimate Partner Violence (WHO, 2012); https://www.who.int/news-room/fact-sheets/detail/violence-against-women
Sardinha, L., Maheu-Giroux, M., Stöckl, H., Meyer, S. R. & García-Moreno, C. Global, regional, and national prevalence estimates of physical or sexual, or both, intimate partner violence against women in 2018. Lancet 399, 803–813 (2022).
Campbell, J. C. Health consequences of intimate partner violence. Lancet 359, 1331–1336 (2002).
Ellsberg, M., Jansen, H. A., Heise, L., Watts, C. H. & Garcia-Moreno, C. Intimate partner violence and women’s physical and mental health in the WHO multi-country study on women’s health and domestic violence: an observational study. Lancet 371, 1165–1172 (2008).
Stöckl, H. et al. The global prevalence of intimate partner homicide: a systematic review. Lancet 382, 859–865 (2013).
Global Burden of Disease Study 2013 Collaborators. Global, regional, and national incidence, prevalence, and years lived with disability for 301 acute and chronic diseases and injuries in 188 countries, 1990-2013: a systematic analysis for the Global Burden of Disease Study 2013. Lancet 386, 743–800 (2015).
Bacchus, L. J., Ranganathan, M., Watts, C. & Devries, K. Recent intimate partner violence against women and health: a systematic review and meta-analysis of cohort studies. BMJ Open 8, e019995 (2018).
Zhong, S. et al. The long-term physical and psychological health impacts of flooding: a systematic mapping. Sci. Total Environ. 626, 165–194 (2018).
Allen, E. M., Munala, L. & Henderson, J. R. Kenyan women bearing the cost of climate change. Int. J. Environ. Res. Public Health https://doi.org/10.3390/ijerph182312697 (2021).
Epstein, A., Bendavid, E., Nash, D., Charlebois, E. D. & Weiser, S. D. Drought and intimate partner violence towards women in 19 countries in sub-Saharan Africa during 2011-2018: a population-based study. PLoS Med. 17, e1003064 (2020).
Sanz-Barbero, B. et al. Heat wave and the risk of intimate partner violence. Sci. Total Environ. 644, 413–419 (2018).
Zhu, Y. et al. Association of ambient temperature with the prevalence of intimate partner violence among partnered women in low- and middle-income South Asian countries. JAMA Psychiatry 80, 952–961 (2023).
Xu, R., Xiong, X., Abramson, M. J., Li, S. & Guo, Y. Association between ambient temperature and sex offense: a case-crossover study in seven large US cities, 2007–2017. Sustain. Cities Soc. 69, 102828 (2021).
Guo, Y. et al. Short-term high temperature may increase the incidence risk of collective conflicts: a case-crossover study in the Greater Middle East. Sci. Total Environ. 915, 170105 (2024).
Cerna-Turoff, I. et al. Did internal displacement from the 2010 earthquake in Haiti lead to long-term violence against children? A matched pairs study design. Child Abuse Negl. 102, 104393 (2020).
Sloand, E. et al. Experiences of violence and abuse among internally displaced adolescent girls following a natural disaster. J. Adv. Nurs. 73, 3200–3208 (2017).
Weitzman, A. & Behrman, J. A. Disaster, disruption to family life, and intimate partner violence: the case of the 2010 earthquake in Haiti. Sociol. Sci. 3, 167 (2016).
Rezaeian, M. The association between natural disasters and violence: a systematic review of the literature and a call for more epidemiological studies. J. Res. Med. Sci. 18, 1103–1107 (2013).
van Daalen, K. R. et al. Extreme events and gender-based violence: a mixed-methods systematic review. Lancet Planet. Health 6, e504–e523 (2022).
Thurston, A. M., Stöckl, H. &. Ranganathan, M. Natural hazards, disasters and violence against women and girls: a global mixed-methods systematic review. BMJ Glob. Health https://doi.org/10.1136/bmjgh-2020-004377 (2021).
Harville, E. W., Taylor, C. A., Tesfai, H., Xu, X. & Buekens, P. Experience of Hurricane Katrina and reported intimate partner violence. J. Interpers. Violence 26, 833–845 (2011).
Schumacher, J. A. et al. Intimate partner violence and Hurricane Katrina: predictors and associated mental health outcomes. Violence Vict. 25, 588–603 (2010).
Anastario, M., Shehab, N. & Lawry, L. Increased gender-based violence among women internally displaced in Mississippi 2 years post-Hurricane Katrina. Disaster Med. Public Health Prep. 3, 18–26 (2009).
Bermudez, L. G. et al. Converging drivers of interpersonal violence: findings from a qualitative study in post-hurricane Haiti. Child Abuse Negl. 89, 178–191 (2019).
Fisher, S. Violence against women and natural disasters: findings from post-tsunami Sri Lanka. Violence Against Women 16, 902–918 (2010).
Le, K. & Nguyen, M. Rainfall and intimate partner violence. Popul. Environ. 46, 19 (2024).
Díaz, J. J. & Saldarriaga, V. A drop of love? Rainfall shocks and spousal abuse: evidence from rural Peru. J. Health Econ. 89, 102739 (2023).
Bukhari, S. I. & Rizvi, S. S. H. Impact of floods on women: with special reference to flooding experience of 2010 flood in Pakistan. J. Geogr. Nat. Disast. https://doi.org/10.4172/2167-0587.1000140 (2015).
Azad, A. K., Hossain, K. M. & Nasreen, M. Flood-induced vulnerabilities and problems encountered by women in northern Bangladesh. Int. J. Disast. Risk Sci. 4, 190–199 (2013).
Haque, A. & Chowdhury, A. I. A. (eds) Water, Flood Management and Water Security Under a Changing Climate Proceedings from the 7th International Conference on Water and Flood Management: Proceedings from the 7th International Conference on Water and Flood Management 235–249 (Springer, 2020).
Temple, J. R. et al. Teen dating violence and substance use following a natural disaster: does evacuation status matter? Am. J. Disast. Med. 6, 201–206 (2011).
Sahni, V. et al. Public health surveillance response following the southern Alberta floods, 2013. Can. J. Public Health 107, 142–148 (2016).
Frasier, P. Y. et al. Disaster down East: using participatory action research to explore intimate partner violence in eastern North Carolina. Health Educ. Behav. 31, 69–84 (2004).
Fagen, J. L., Sorensen, W. & Anderson, P. B. Why not the University of New Orleans? Social disorganization and sexual violence among internally displaced women of Hurricane Katrina. J. Commun. Health 36, 721–727 (2011).
Molyneaux, R. et al. Interpersonal violence and mental health outcomes following disaster. BJPsych Open 6, e1 (2020).
Rao, S. A natural disaster and intimate partner violence: evidence over time. Soc Sci Med 247, 112804 (2020).
Stanke, C., Murray, V., Amlôt, `R., Nurse, J. & Williams, R. The effects of flooding on mental health: outcomes and recommendations from a review of the literature. PLoS Currents 4, e4f9f1fa9c3cae (2012).
Bland, S. H., O’Leary, E. S., Farinaro, E., Jossa, F. & Trevisan, M. Long-term psychological effects of natural disasters. Psychosom. Med. 58, 18–24 (1996).
DeSalvo, K. B. et al. Symptoms of posttraumatic stress disorder in a New Orleans workforce following Hurricane Katrina. J. Urban Health 84, 142–152 (2007).
Munala, L., Allen, E. M., Frederick, A. J. & Ngũnjiri, A. Climate change, extreme weather, and intimate partner violence in east african agrarian-based economies. Int. J. Environ. Res. Public Health https://doi.org/10.3390/ijerph20237124 (2023).
First, J. M., First, N. L. & Houston, J. B. Intimate partner violence and disasters:a framework for empowering women experiencing violence in disaster settings. Affilia 32, 390–403 (2017).
Rentschler, J., Salhab, M. & Jafino, B. A. Flood exposure and poverty in 188 countries. Nat. Commun. 13, 3527 (2022).
Hunt, A. & Watkiss, P. Climate Change impacts and adaptation in cities: a review of the literature. Clim. Change 104, 13–49 (2011).
Menne, B., Murray, V. & World Health Organization. Floods in the WHO European Region: Health Effects and Their Prevention (World Health Organization, 2013).
Wade, T. J. et al. Did a severe flood in the Midwest cause an increase in the incidence of gastrointestinal symptoms? Am. J. Epidemiol. 159, 398–405 (2004).
Gao, L., Jiang, B., Liu, Z., Zhang, F. & Zhang, C. Short-term impacts of floods on enteric infectious disease in Qingdao, China, 2005–2011. Epidemiol. Infect. 144, 3278–3287 (2016).
He, C. et al. Flood exposure and pregnancy loss in 33 developing countries. Nat. Commun. 15, 20 (2024).
Suhr, F. & Steinert, J. I. Epidemiology of floods in sub-Saharan Africa: a systematic review of health outcomes. BMC Public Health 22, 268 (2022).
Cage, J. et al. The effect of exposure to intimate partner violence on children’s academic functioning: a systematic review of the literature. J. Family Violence 37, 1337–1352 (2022).
Anderson, C. A., Anderson, K. B. & Deuser, W. E. Examining an affective aggression framework weapon and temperature effects on aggressive thoughts, affect, and attitudes. Pers. Soc. Psychol. Bull. 22, 366–376 (1996).
Allen, J. J., Anderson, C. A. & Bushman, B. J. The general aggression model. Curr. Opin. Psychol. 19, 75–80 (2018).
Cohen, L. E. & Felson, M. Social change and crime rate trends: a routine activity approach. Am. Sociol. Rev. 44, 588–608 (1979).
Fewtrell, L. & Kay, D. Urban Flood Management Project Report for the Flood Risk Management Research Consortium (Univ. Wales Aberystwyth, 2006).
Zimm, C. et al. Justice considerations in climate research. Nat. Clim. Change 14, 22–30 (2024).
Dolsak, N. & Prakash, A. Three faces of climate justice. Annu. Rev. Polit. Sci. https://doi.org/10.1146/annurev-polisci-051120-125514 (2021).
Filho, Walter & Vidal, Diogo & Dinis, Maria & Dias, Ricardo. Sustainable Policies and Practices in Energy, Environment and Health Research. 167–176 (Springer, 2022).
Atanga, R. A. & Tankpa, V. Climate change, flood disaster risk and food security nexus in northern Ghana. Front. Sustain. Food Syst. https://doi.org/10.3389/fsufs.2021.706721 (2021).
Gearhart, S. et al. The impact of natural disasters on domestic violence: an analysis of reports of simple assault in Florida (1999–2007). Violence Gender 5, 87–92 (2018).
Ghio, M. et al. Tropical storms and hurricanes in new orleans lead to increased rates of violent injury. Disast. Med. Public Health Prep. 17, e473 (2023).
Hamadani, J. D. et al. Immediate impact of stay-at-home orders to control COVID-19 transmission on socioeconomic conditions, food insecurity, mental health, and intimate partner violence in Bangladeshi women and their families: an interrupted time series. Lancet Glob. Health 8, e1380–e1389 (2020).
Roesch, E., Amin, A., Gupta, J. & García-Moreno, C. Violence against women during COVID-19 pandemic restrictions. Br. Med. J. 369, m1712 (2020).
Uthman, O. A., Lawoko, S. & Moradi, T. Factors associated with attitudes towards intimate partner violence against women: a comparative analysis of 17 sub-Saharan countries. BMC Int. Health Hum. Rights 9, 14 (2009).
Arora-Jonsson, S. Virtue and vulnerability: discourses on women, gender and climate change. Glob. Environ. Change 21, 744–751 (2011).
Andrijevic, M., Crespo Cuaresma, J., Lissner, T., Thomas, A. & Schleussner, C.-F. Overcoming gender inequality for climate resilient development. Nat. Commun. 11, 6261 (2020).
Stoff, L. W. et al. Intimate partner violence and social connection among married women in rural Bangladesh. J. Epidemiol. Commun. Health 75, 1202–1207 (2021).
Rashid, S. F. The urban poor in Dhaka City: their struggles and coping strategies during the floods of 1998. Disasters 24, 240–253 (2000).
Martín-Fernández, M., Gracia, E. & Lila, M. Psychological intimate partner violence against women in the European Union: a cross-national invariance study. BMC Public Health 19, 1739 (2019).
Ma, N. et al. Prevalence and changes of intimate partner violence against women aged 15 to 49 years in 53 low-income and middle-income countries from 2000 to 2021: a secondary analysis of population-based surveys. Lancet Glob. Health 11, e1863–e1873 (2023).
Kidman, R. Child marriage and intimate partner violence: a comparative study of 34 countries. Int. J. Epidemiol. 46, 662–675 (2016).
Raj, A. et al. Students and brides: a qualitative analysis of the relationship between girls’ education and early marriage in Ethiopia and India. BMC Public Health 19, 19 (2019).
Abramsky, T. et al. What factors are associated with recent intimate partner violence? Findings from the WHO multi-country study on women’s health and domestic violence. BMC Public Health 11, 109 (2011).
Corsi, D. J., Neuman, M., Finlay, J. E. & Subramanian, S. V. Demographic and health surveys: a profile. Int. J. Epidemiol. 41, 1602–1613 (2012).
Aliaga, A. & Ren, R. Optimal sample sizes for two-stage cluster sampling in demographic and health surveys. DHS Working Papers No. 30 (USAID, 2006); https://www.dhsprogram.com/pubs/pdf/WP30/WP30.pdf
Hu, P., Zhang, Q., Shi, P., Chen, B. & Fang, J. Flood-induced mortality across the globe: spatiotemporal pattern and influencing factors. Sci. Total Environ. 643, 171–182 (2018).
Hersbach, H. et al. The ERA5 global reanalysis. Q. J. R. Meteorolog. Soc. 146, 1999–2049 (2020).
Chen, R. et al. Hourly air pollutants and acute coronary syndrome onset in 1.29 million patients. Circulation 145, 1749–1760 (2022).
Peng, J., Xiang, Y., Liu, G., Ling, S. & Li, F. The early prognostic value of the 1-4-day BCM/PA trend after admission in neurocritical patients. Sci Rep. 14, 21802 (2024).
Zeng, Y. et al. [Inflammatory factors and prostate cancer: two-sample Mendelian randomization analysis]. Zhonghua Nan Ke Xue 30, 588–596 (2024).
Sumner, E. S. et al. Personalizing driver safety interfaces via driver cognitive factors inference. Sci Rep. 14, 18058 (2024).
Acknowledgements
This research is supported by the National Natural Science Foundation of China (no. 82430105) (H.K.), the Shanghai B&R Joint Laboratory Project (no. 22230750300) (H.K.), Shanghai Municipal Science and Technology Major Project (no. 2023SHZDZX02) (H.K.), and Shanghai International Science and Technology Partnership Project (no. 21230780200) (R.C. and H.K.). The funders had no role in design and conduct of the study; collection, management, analysis and interpretation of the data; preparation, review or approval of the manuscript; and decision to submit the manuscript for publication.
Author information
Authors and Affiliations
Contributions
R.C. had full access to all of the data in the study and takes responsibility for the integrity of the data and the accuracy of the data analysis. Concept and design: R.C. Acquisition, analysis or interpretation of data: Y.G. and Y.Z. Drafting of the manuscript: Y.G., Y.Z. and Z.F. Critical revision of the paper for important intellectual content: Y.G., Y.Z., Z.F. and R.C. Statistical analysis: Y.G., Y.Z., H.K., C.H., L.Z. and J.B. Obtained funding: R.C. and H.K. Administrative, technical or material support: R.C. Supervision: R.C.
Corresponding author
Ethics declarations
Competing interests
The authors declare no competing interests.
Peer review
Peer review information
Nature Water thanks Elizabeth Allen, Sheri D. Weiser and the other, anonymous, reviewer(s) for their contribution to the peer review of this work.
Additional information
Publisher’s note Springer Nature remains neutral with regard to jurisdictional claims in published maps and institutional affiliations.
Supplementary information
Supplementary Information (download PDF )
Supplementary Fig. 1 and Tables 1–8.
Source data
Source Data Fig. 1 (download XLSX )
Source data for plotting figures.
Source Data Fig. 2 (download XLSX )
Source data for plotting figures.
Source Data Fig. 3 (download XLSX )
Source data for plotting figures.
Source Data Fig. 4 (download XLSX )
Source data for plotting figures.
Rights and permissions
Springer Nature or its licensor (e.g. a society or other partner) holds exclusive rights to this article under a publishing agreement with the author(s) or other rightsholder(s); author self-archiving of the accepted manuscript version of this article is solely governed by the terms of such publishing agreement and applicable law.
About this article
Cite this article
Guo, Y., Zhu, Y., Fatmi, Z. et al. Flood exposure and intimate partner violence in low- and middle-income countries. Nat Water 3, 296–306 (2025). https://doi.org/10.1038/s44221-025-00389-9
Received:
Accepted:
Published:
Version of record:
Issue date:
DOI: https://doi.org/10.1038/s44221-025-00389-9
This article is cited by
-
Flood-related violence against women
Nature Water (2025)


