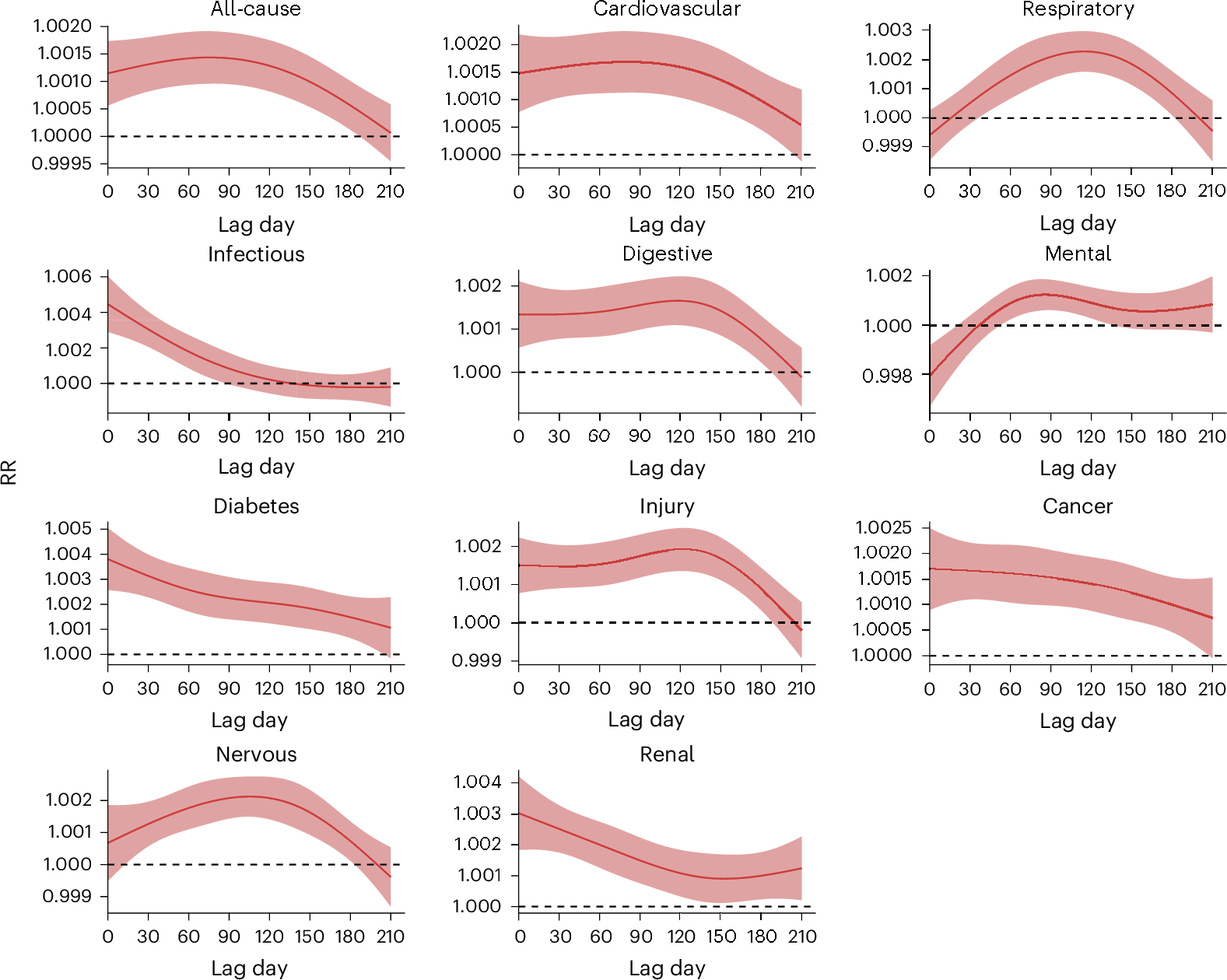
Fig. 2: RRs of hospitalization (n = 300,470,192) after exposure to floods in all communities.
From: Hospitalization risks associated with floods in a multi-country study

The lines denote the estimates of RRs, and the shaded areas denote the corresponding 95% confidence intervals.