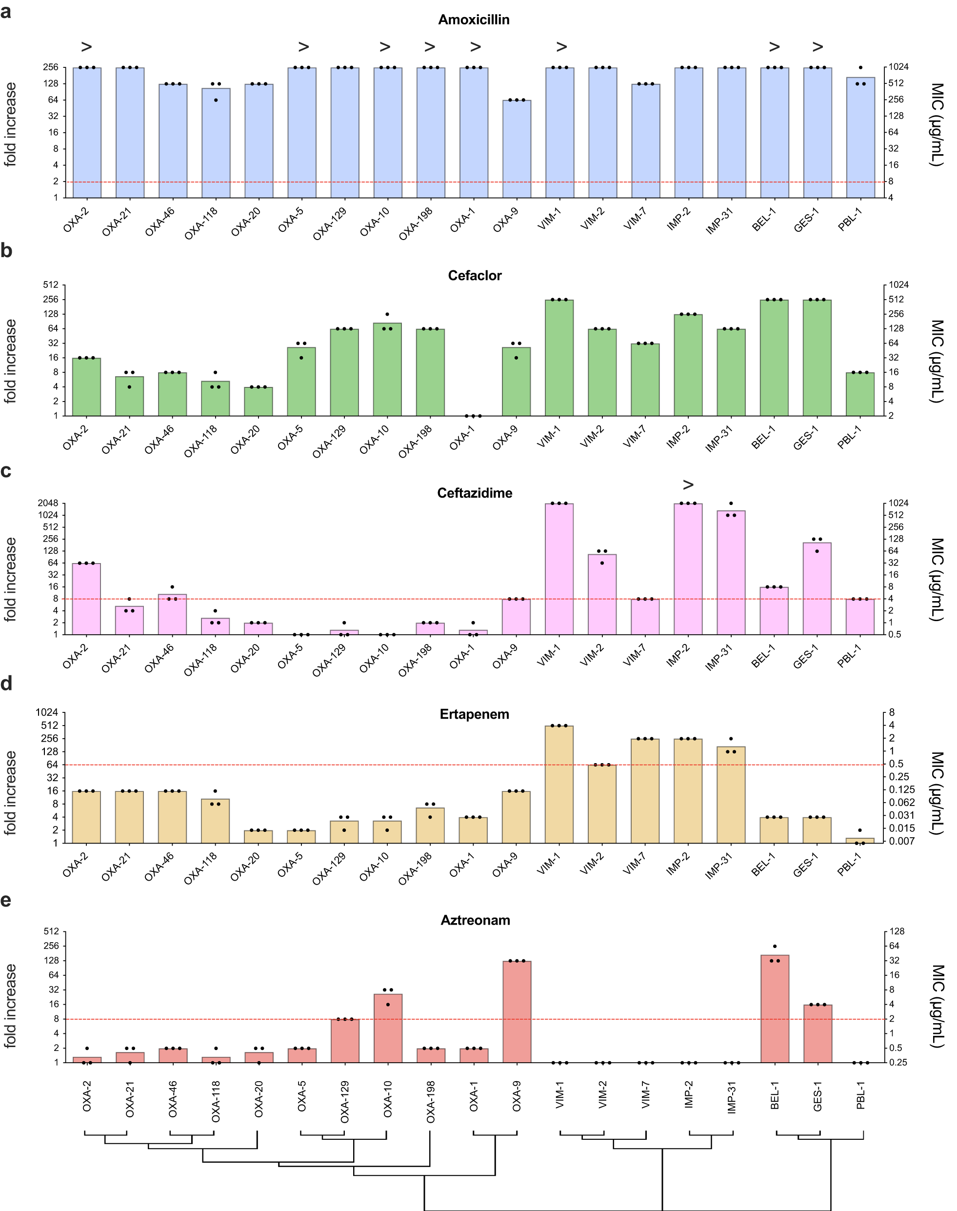
Fig. 3: MICs of beta-lactam resistance cassettes.
From: Profile and resistance levels of 136 integron resistance genes

Antimicrobial resistance to amoxicillin (a), cefaclor (b), ceftazidime (c), ertapenem (d), and aztreonam (e) is shown as MIC (μg/mL) in the right axis, and resistance fold increase compared to the empty pMBA control in the left axis. The MIC is the mean of three biological replicates (black dots) for each strain. A red dotted line represents the clinical breakpoint (EUCAST) for E. coli against this antimicrobial. A hierarchical clustering tree showing protein sequence similarity is shown under the graphs.