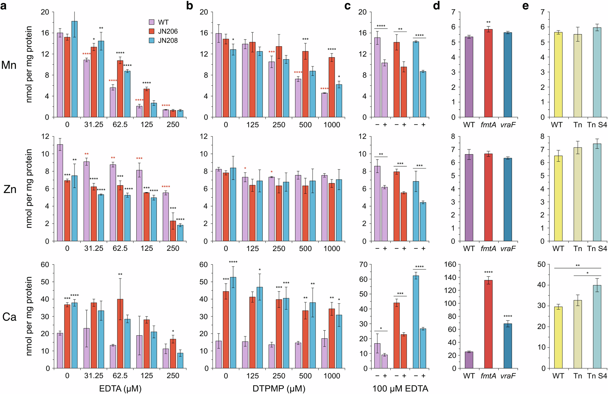
Fig. 5: Effect of chelators on the cellular Mn, Zn and Ca composition of S. aureus mutants.

a, b Bacteria (50 ml) were cultured to early log-phase in the presence of EDTA or DTPMP producing growth inhibition of 10–30% and untreated controls set up in parallel. Amounts of each metal were determined by ICP-MS and presented in nmol per mg of total cellular proteins. c Comparisons were made between cells with or without EDTA in the wash buffer to distinguish surface-associated and cytosolic metals. d Comparison of cellular metal content between the USA300 WT and fmtA and vraF mutant strains. e Total cellular metal content USA300 WT and mutants carrying a 1332::Tn insertion (Tn) and the 1332::Tn insertion combined with the pbp2 T148I mutation (Tn S4). One-way ANOVA analysis with post hoc Dunnett test (a, b, d) or Tukey test (e) was used to compare each chelant concentration against the relevant control (n = 3). A Student’s t test was used to compare cells with or without EDTA in the wash buffer in (c) (n = 3). *p < 0.05, **p < 0.01, ***p < 0.001 and ****p < 0.0001. Asterisks in red (a, b) refer to comparisons between treated and untreated WT samples, those in black compare JN206 and JN208 samples against the WT under the same conditions.