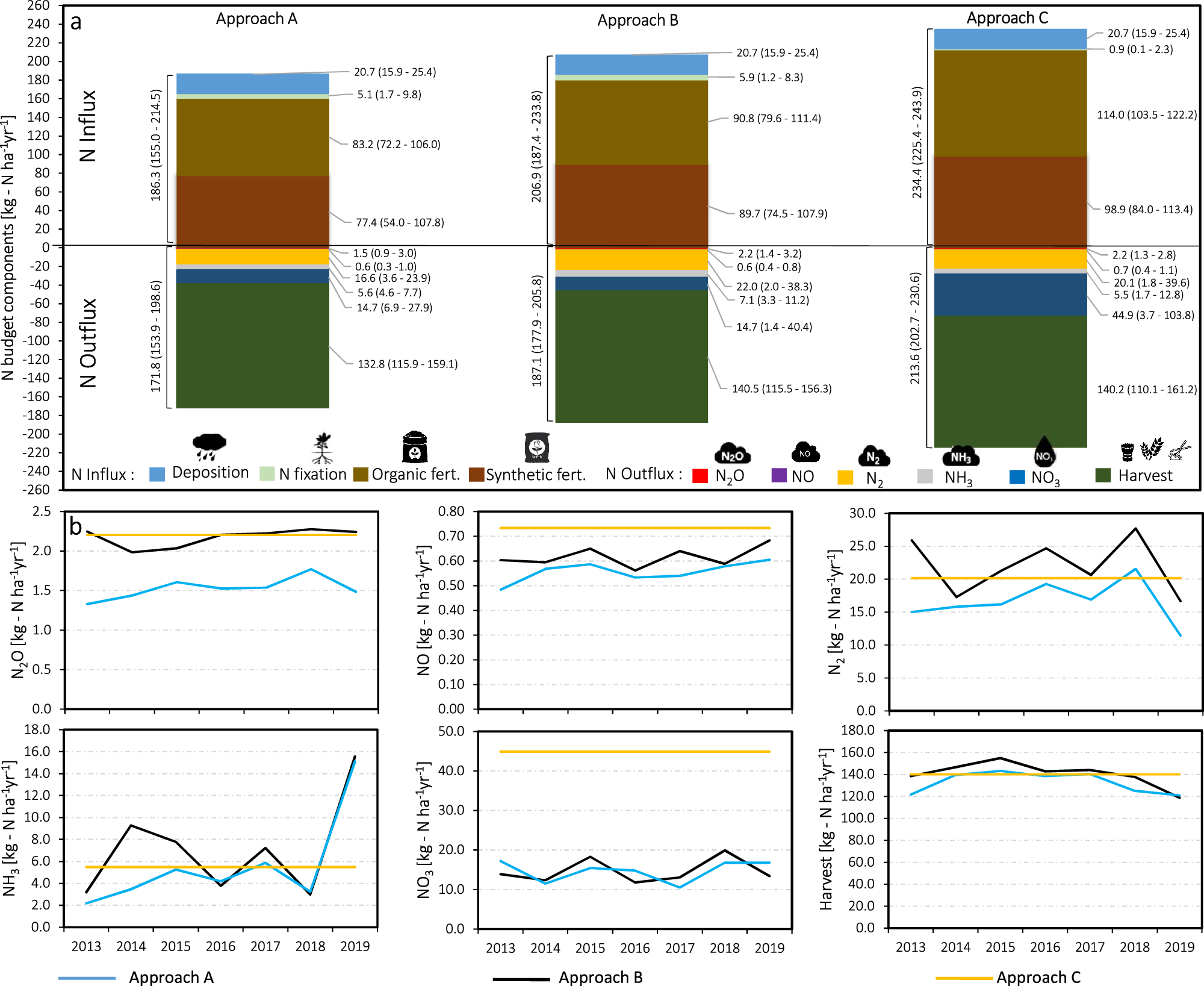
Fig. 5: Comparative assessment of the three approaches in simulating N in- and out-fluxes versus the detailed, actual field management-driven, approach (A).

a N fluxes for approaches A–C, averaged throughout 2013–2019; b the temporal variation of NB components simulated by different approaches. All numbers are expressed in kg-N ha−1 year−1, with each value representing the contribution of a specific component from the total NB simulated by each of the three approaches. The values between brackets represent the minimum and maximum across the studied catchments.