Fig. 3: Cover crop effects across management practices.
From: Optimizing cover cropping application for sustainable crop production

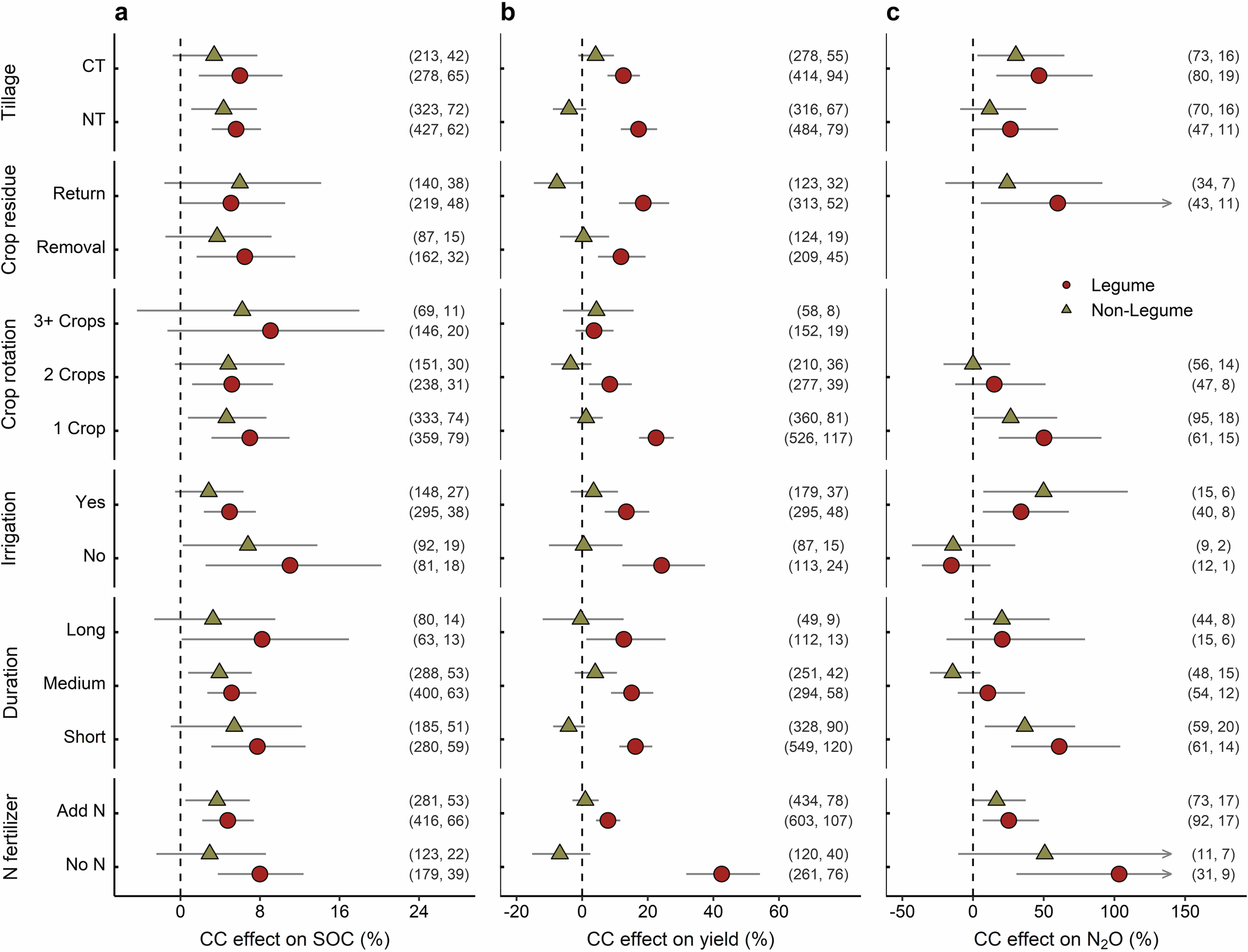
a–c Effects of legume and non-legume CCs on SOC (a), yield (b), and N2O emissions (c) compared to no cover crop. Numbers in parentheses are observations in each grouping, followed by the number of corresponding unique sites. Red circles and yellow triangles represent legume and non-legume CCs respectively. Center dots indicate mean effect sizes, and error bars indicate 95% confidence intervals. No comparison for N2O emissions in residue removal and 3+ crop rotation groups due to the insufficient observations. The figure is drawn using the R project.