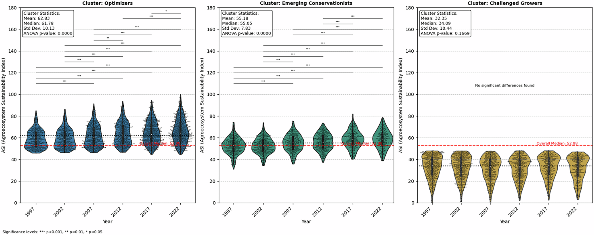
Fig. 3: Violin plot analysis of agroecosystem sustainability index (ASI) trends over 25 years.
From: Agroecosystem sustainability index ASI for measuring environmental and socioeconomic sustainability

Violin plots depict the distribution and density of ASI values across the US Corn Belt from 1995 to 2020. The plots show temporal variation and data spread for each year, highlighting changes in agroecosystem sustainability over the study period.