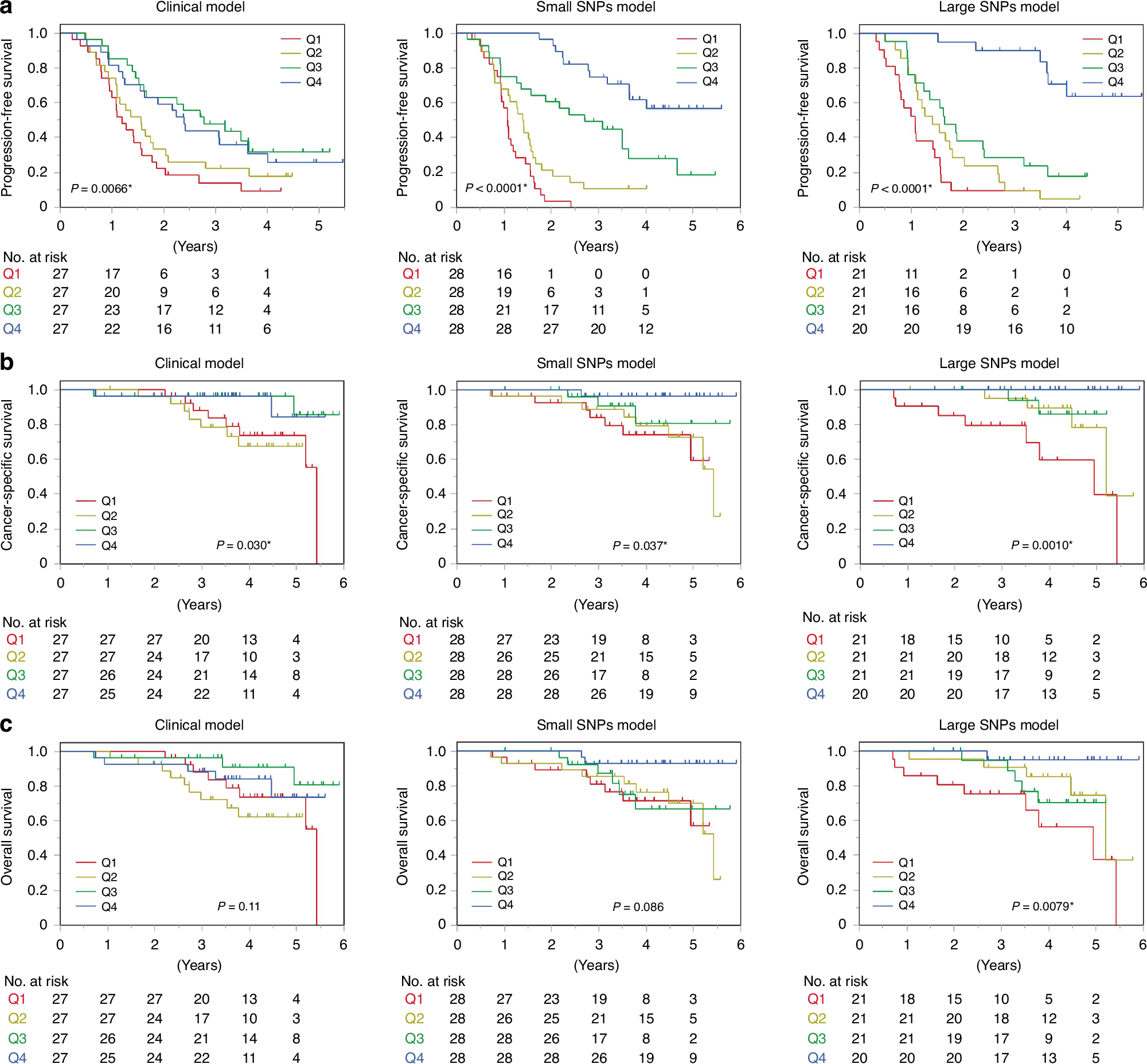
Fig. 2: Prognosis stratification by predictive models of castration resistance at 2 years created by machine learning using clinical and genetic parameters.

Progression-free survival (A), cancer-specific survival (B), and overall survival (C) among discovery and validation cohorts according to quarterly-divided groups (Q1–Q4) based on scores by clinical model (left), small SNPs model (middle), and large SNPs model (right).