Fig. 3
From: Design and development of a novel polymer coating system with exceptional creep resistance

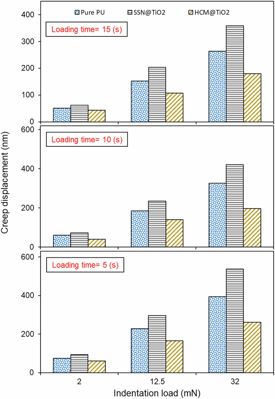
Effect of indentation load over various loading times on creep displacement.
From: Design and development of a novel polymer coating system with exceptional creep resistance

Effect of indentation load over various loading times on creep displacement.