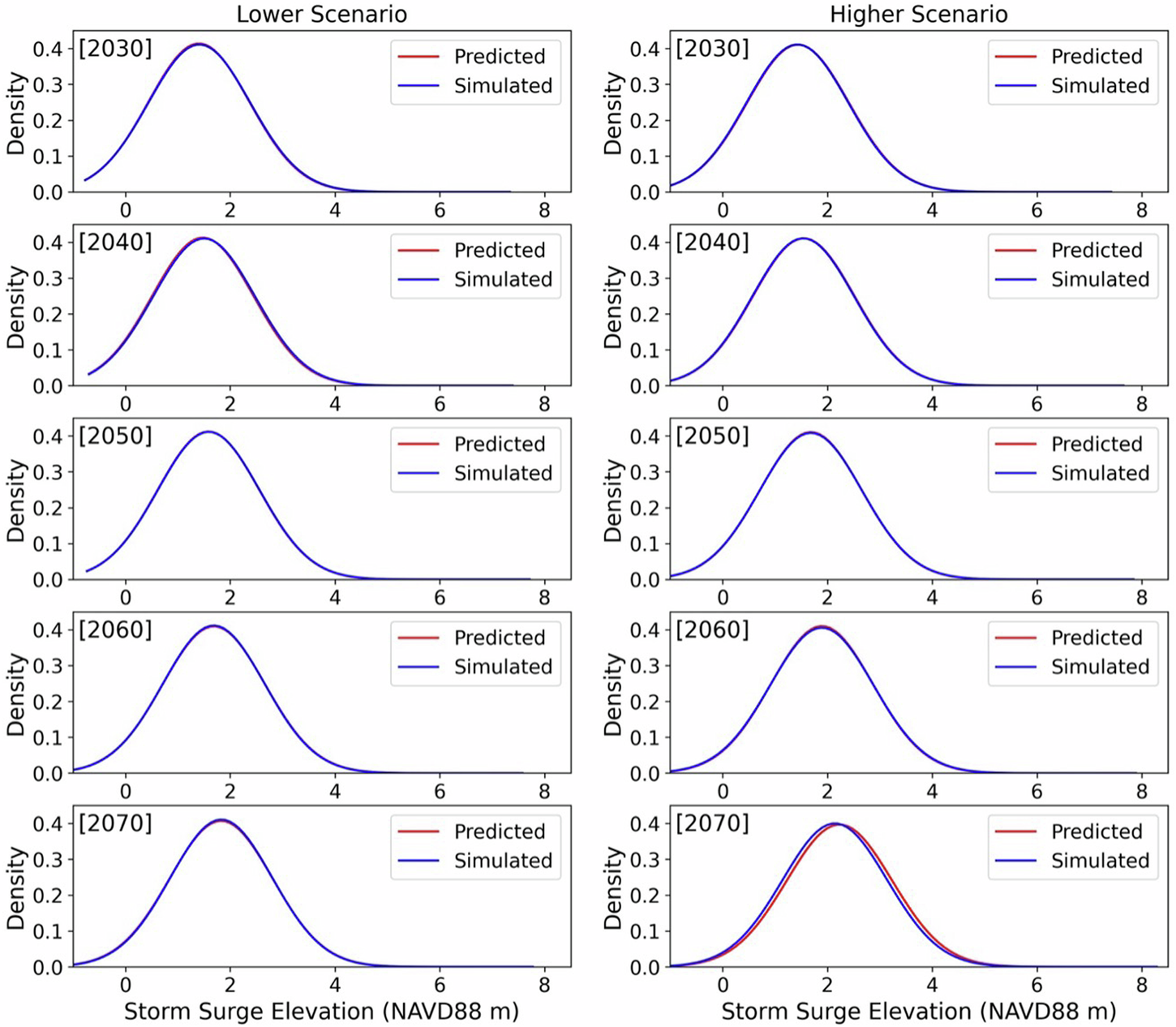
Fig. 4: Frequency distribution of peak storm surge elevation for all future landscapes.
From: Using surrogate modeling to predict storm surge on evolving landscapes under climate change

Red indicates the distribution of predicted values, while blue indicates the distribution of simulated values.