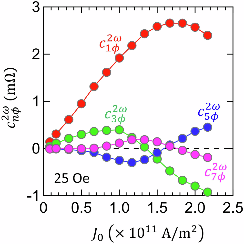
Fig. 3: Current-density dependence of the coefficients \({c}_{n\phi }^{2\omega }(n=1,3,5,7)\).

\({c}_{n\phi }^{2\omega }\) were obtained by fitting the \({R}_{{xy}}^{2\omega }\) data at Ha = 25 Oe to Eq. (2).

\({c}_{n\phi }^{2\omega }\) were obtained by fitting the \({R}_{{xy}}^{2\omega }\) data at Ha = 25 Oe to Eq. (2).