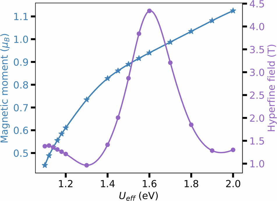
Fig. 11: Hyperfine field and magnetic moment on Ru as a function of Hubbard Ueff.
From: Absence of magnetic order in RuO2: insights from μSR spectroscopy and neutron diffraction

The Fermi-contact term provides the dominant contribution to the hyperfine field, being the dipole field contribution negligible. For Ueff values smaller than the plotted ones, the Ru atoms have no magnetic moment. The lines are guides to the eye.