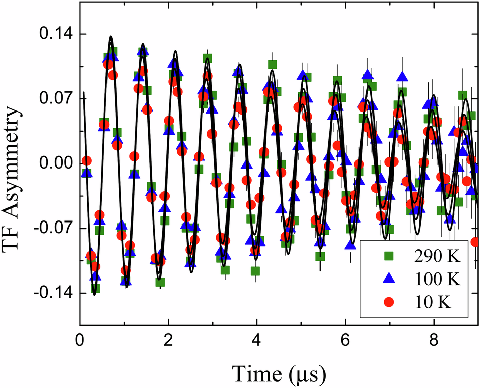
Fig. 5: Muon spin rotation asymmetry of 11 nm thick RuO2 films.
From: Absence of magnetic order in RuO2: insights from μSR spectroscopy and neutron diffraction

Representative curves were measured with 10 mT transverse magnetic field and E = 1.5 keV at various temperatures.