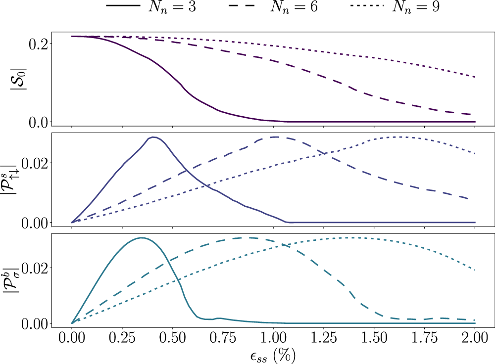
Fig. 2: The even-frequency s-wave singlet and p-wave triplet pairings at the center of the superconductor as a function of the strain ϵss.
From: Bending-strain effects in conventional superconductors and superconducting junctions

The spin-polarized p-wave amplitudes are equal in magnitude \(| {{\mathcal{P}}}_{\sigma }^{b}| =| {{\mathcal{P}}}_{-\sigma }^{b}|\). Parameters are given in the main text.