Thank you for visiting nature.com. You are using a browser version with limited support for CSS. To obtain
the best experience, we recommend you use a more up to date browser (or turn off compatibility mode in
Internet Explorer). In the meantime, to ensure continued support, we are displaying the site without styles
and JavaScript.
npj Spintronics has APC waivers available that can be allocated upon acceptance on an ad-hoc basis. For additional information, contact the Journal Publisher, Daniel Payne.
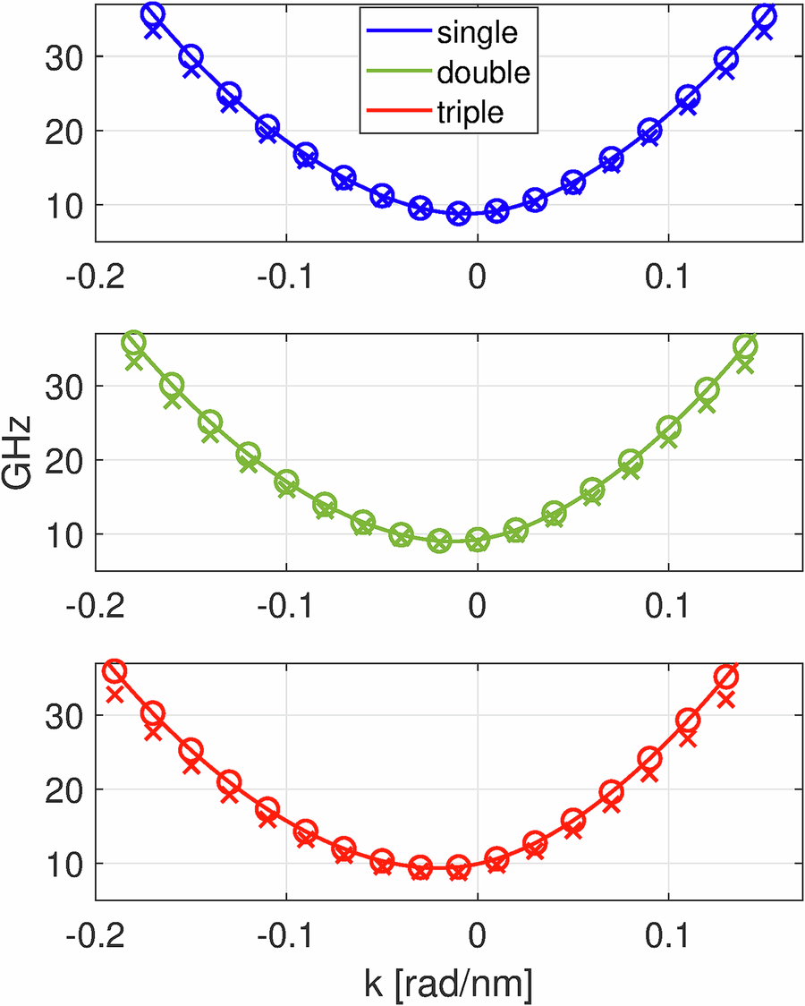
Fig. 6: Comparison between theory and 3D FEM numerical results for single-, double-, and triple-twisted Möbius strips. | npj Spintronics
Fig. 6: Comparison between theory and 3D FEM numerical results for single-, double-, and triple-twisted Möbius strips.
Solid lines refer to the analytical dispersion relation (1), open circles indicate the discrete k-values from the quantization rule (3), and crosses denote FEM simulation results.