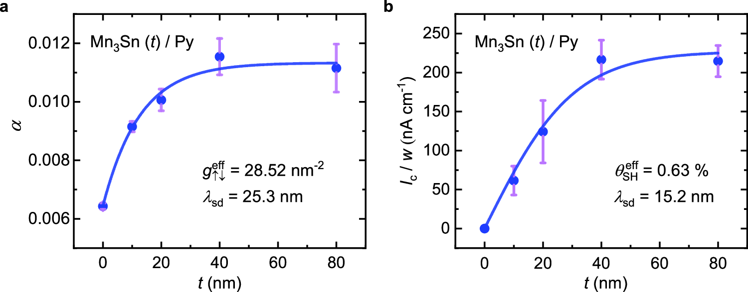
Fig. 4: Mn3Sn thickness-dependent spin-pumping and ISHE results.

a Mn3Sn thickness-dependent modulation of the Gilbert damping parameter (α); the solid line represents the fit using Eq. (5). b Mn3Sn thickness-dependent modulation of ISHE-induced charge current (Ic) at 300 K. The solid line corresponds to the fit using Eq. (6), and returns the estimate of the magnitude of the effective SHA.