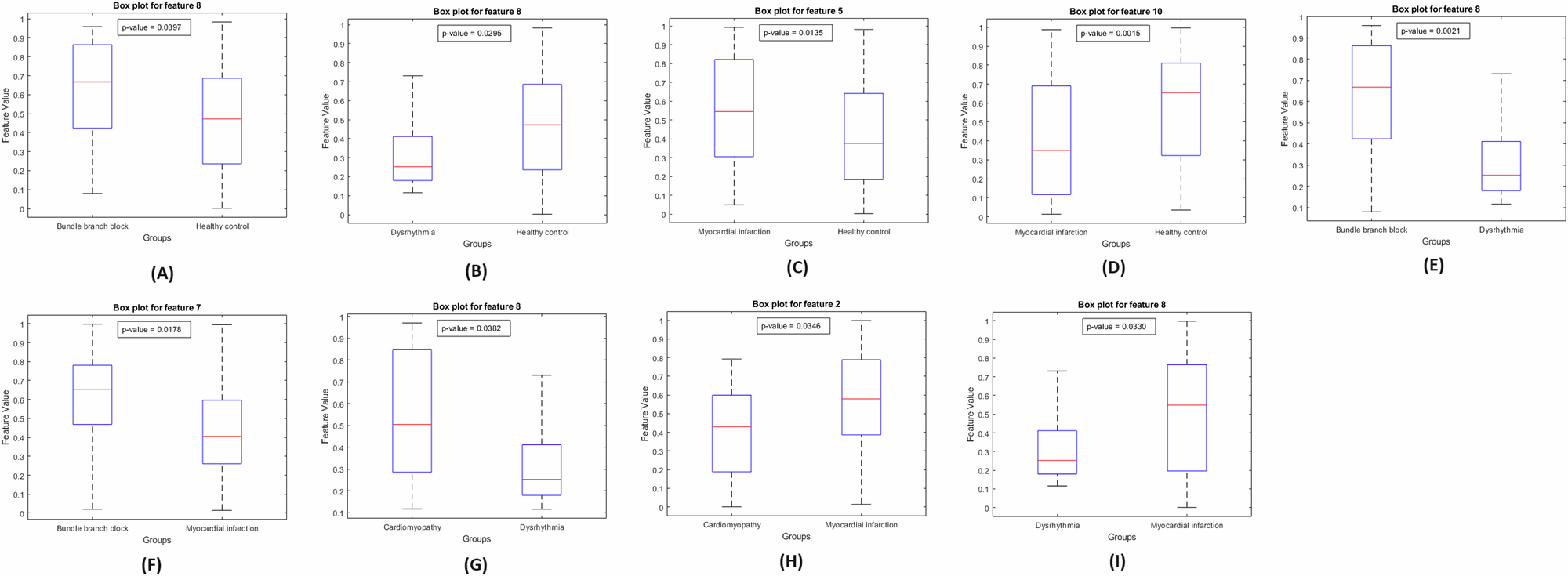
Fig. 3: The box plot illustrates the results of the Wilcoxon rank-sum test, conducted with a 95% confidence interval, for pairwise comparisons between the study groups.
From: Non-linear dynamics in ECG: a novel approach for robust classification of cardiovascular disorders

A F8 (Longest vertical line) between BBB and HC, B F8 between DR and HC, C F5 (Entropy) between MI and HC, D F10 (RDR) between MI and HC, E F8 between BBB and DR, F F7 (TT) between BBB and MI, G F8 between CM and DR, H F2 (Determinism) between CM and MI, and I F8 between DR and MI.