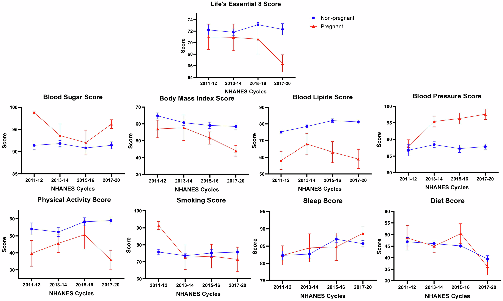
Fig. 2: Trends of life’s essential 8 score and its components stratified by pregnancy status in the National Health and Nutrition Examination Cycles 2011–March 2020.
From: Cardiovascular health in pregnancy according to Life’s Essential 8 score

This figure depicts the trends of the life’s essential 8 score and its components among women aged between 20 and 44 years stratified by pregnancy status from 2011 to 2020. Pregnant and non-pregnant females have been depicted in red and blue, respectively.