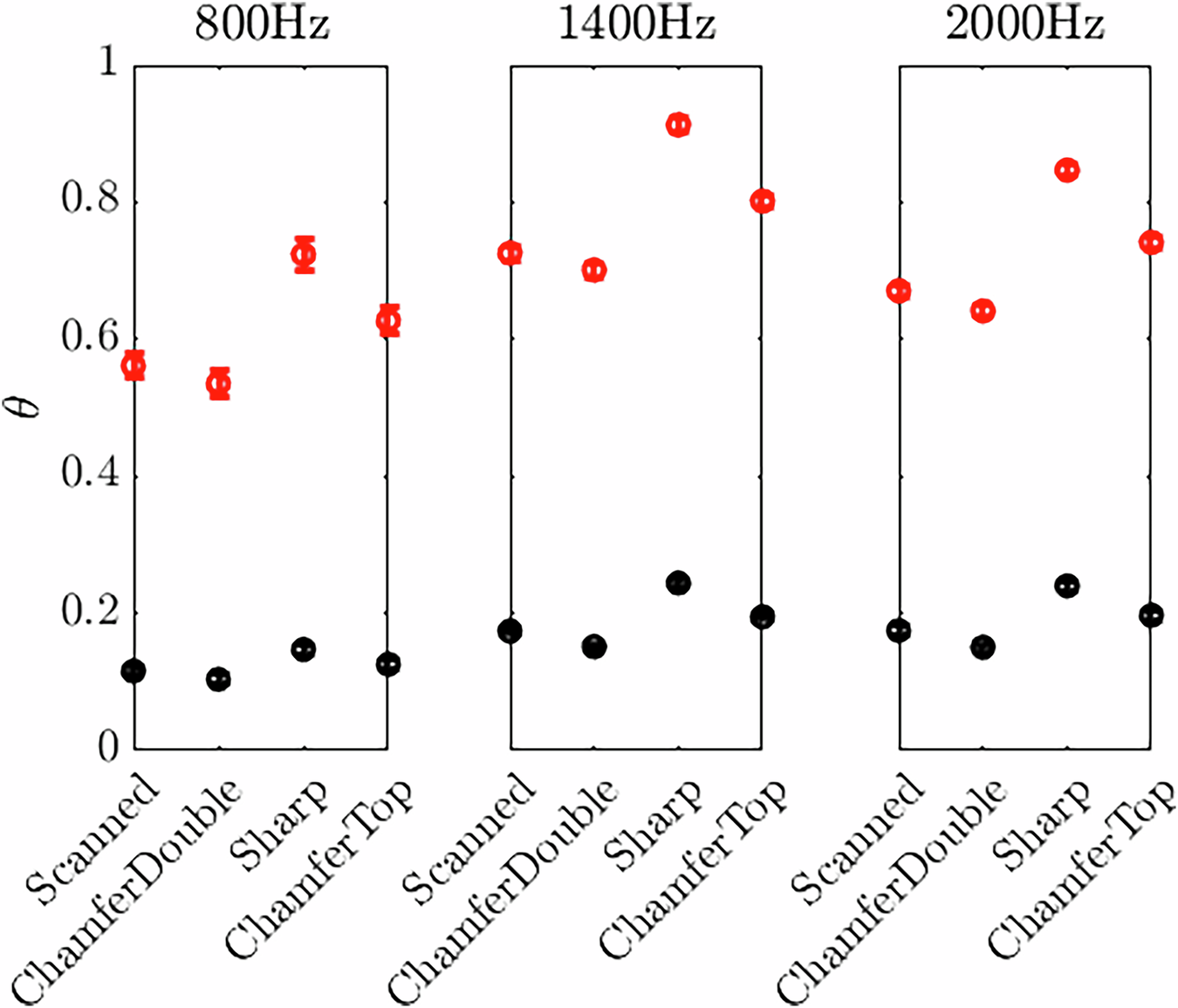
Fig. 1: Comparison between geometries of the resistance component of impedance.
From: On the relevance of facesheet orifice geometry to acoustic liner impedance

Simulations were performed with acoustic plane waves with different frequencies and amplitudes equal to 130 dB (black) and 145 dB (red).