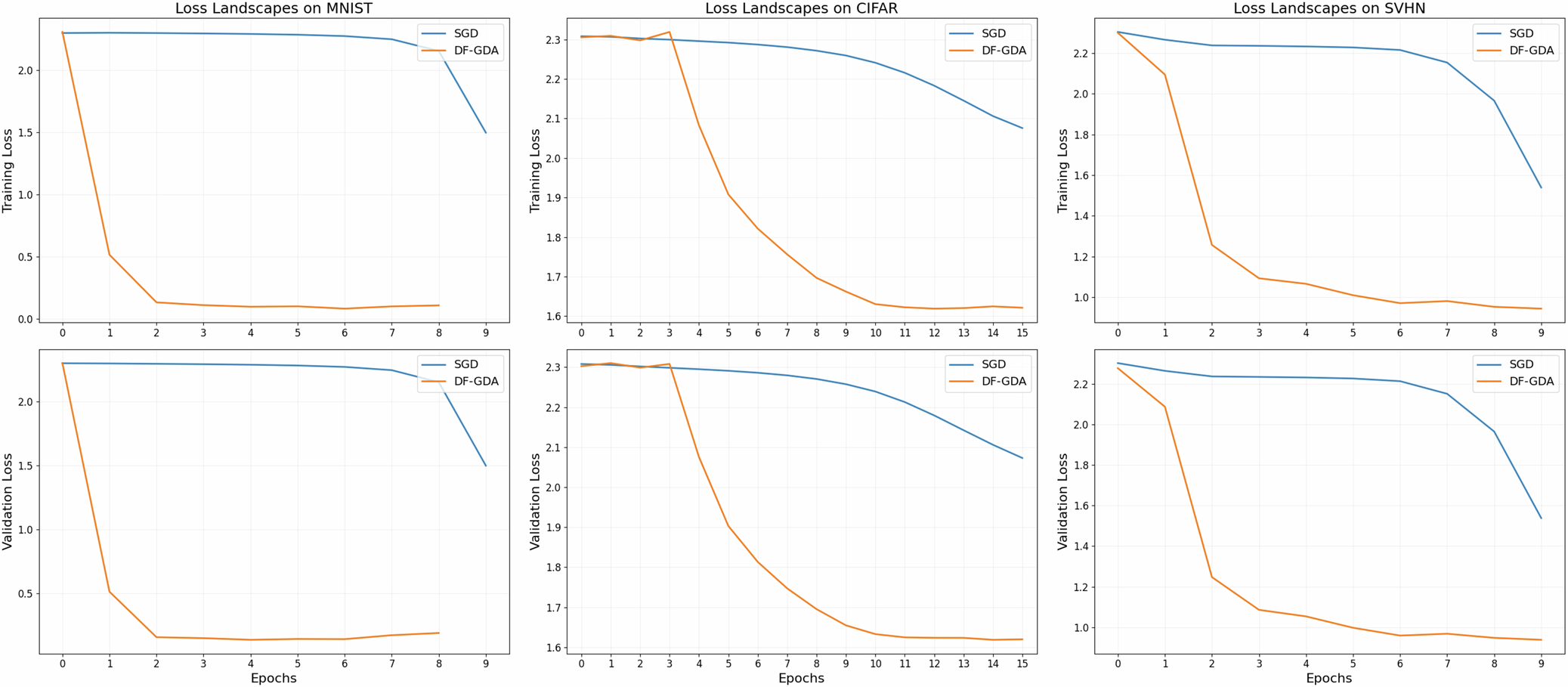
Fig. 5

Comparison of training and validation losses between SGD and DF–GDA on the image classification datasets, MNIST, CIFAR, and SVHN datasets.

Comparison of training and validation losses between SGD and DF–GDA on the image classification datasets, MNIST, CIFAR, and SVHN datasets.