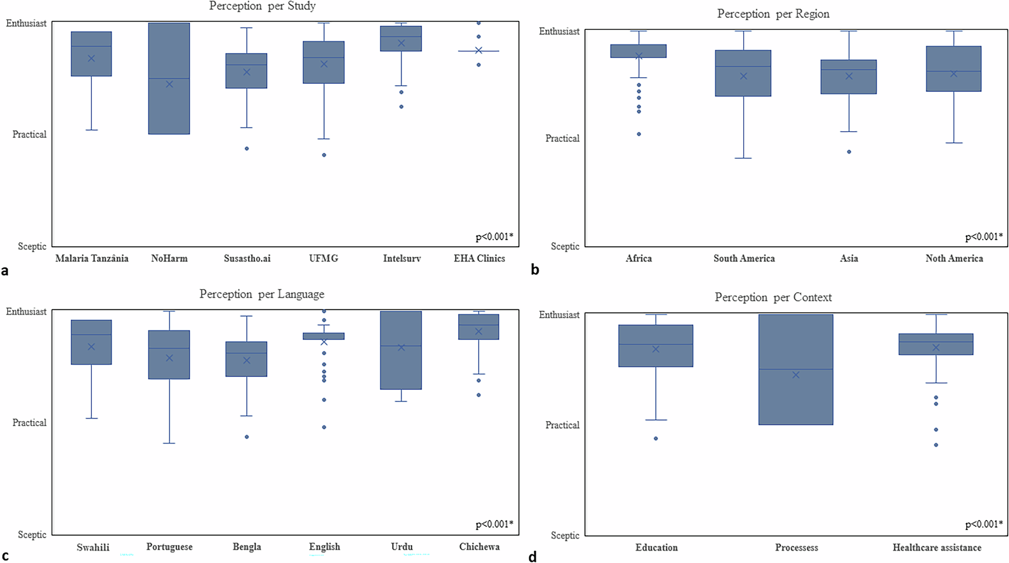
Fig. 3: Boxplots depicting averaged overall evaluator perceptions by study.
From: Spotlighting healthcare frontline workers´ perceptions on artificial intelligence across the globe

(a) region; (b) language, (c), and context (d). Perception classification ranged from sceptic, to practical, to enthusiast; * signify statistical significance (p < 0.05).