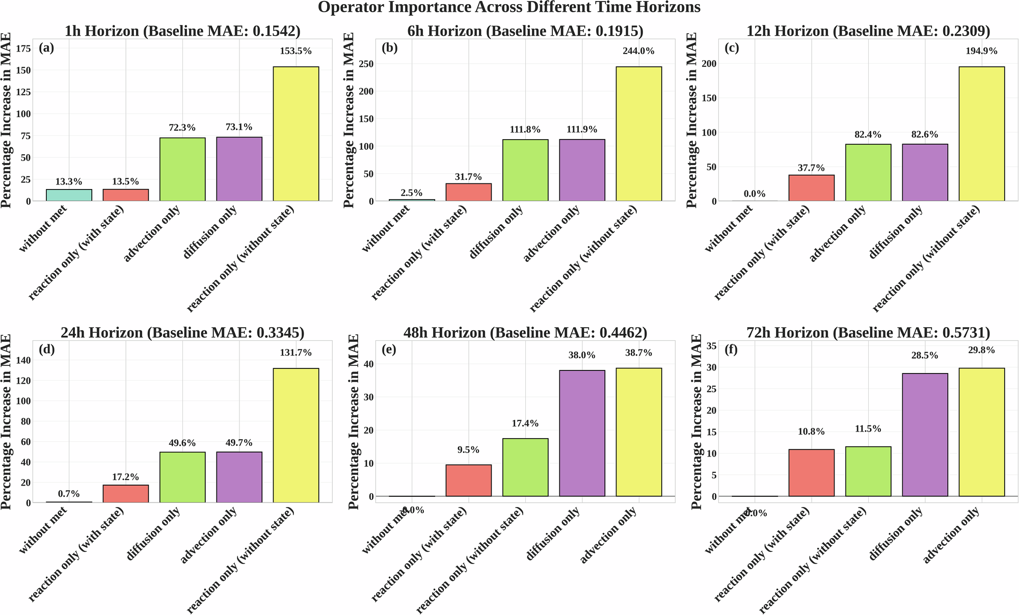
Fig. 6: Relative importance of TransNet’s physical operators evaluated through ablation analysis across six forecast horizons.

Percentage increase in MAE when isolating individual TransNet operators across forecast horizons. Each panel shows performance degradation when specific operators are removed, with baseline MAE values indicated in panel titles. Panel (a) shows +1 h horizon (baseline MAE: 0.1542), panel (b) shows +6 h (baseline MAE: 0.1915), panel (c) shows +12 h (baseline MAE: 0.2309), panel (d) shows +24 h (baseline MAE: 0.3345), panel (e) shows +48 h (baseline MAE: 0.4462), and panel (f) shows +72 h (baseline MAE: 0.5731). Five configurations are tested: without meteorological inputs (yellow bars), reaction only with state (red bars), advection only (green bars), diffusion only (purple bars), and reaction only without state (pale yellow bars). Percentage values above each bar indicate the MAE increase relative to the full model.