Figure 2
From: Growing interfaces uncover universal fluctuations behind scale invariance

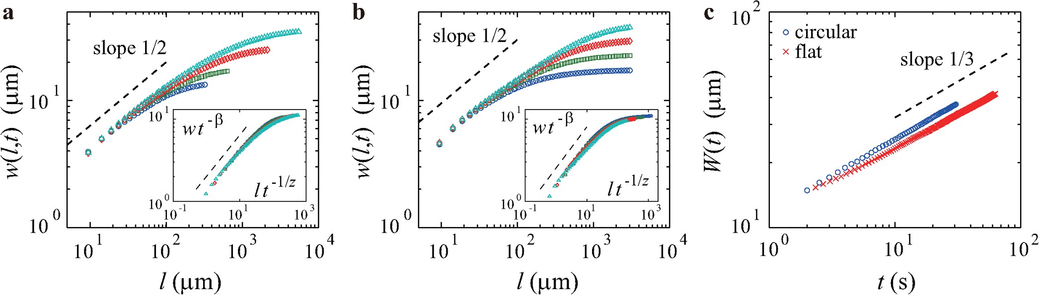
Family-Vicsek scaling.
a,b, Interface width w(l, t) against the length scale l at different times t for the circular (a) and flat (b) interfaces. The four data correspond, from bottom to top, to t = 2.0 s, 4.0 s, 12.0 s and 30.0 s for the panel a and to t = 4.0 s, 10.0 s, 25.0 s and 60.0 s for the panel b. The insets show the same data with the rescaled axes. c, Growth of the overall width
. The dashed lines are guides for the eyes showing the exponent values of the KPZ class.