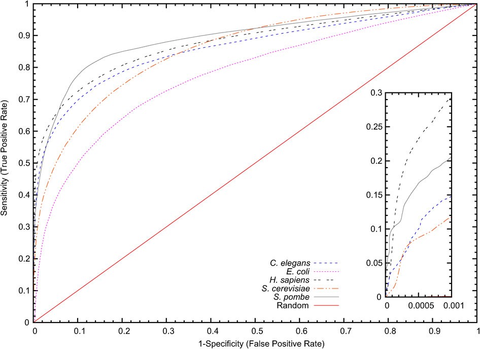
Figure 1
From: Short Co-occurring Polypeptide Regions Can Predict Global Protein Interaction Maps

ROC (Receiver Operating Characteristic) curve for C. elegans, E. coli, H. sapiens, S. cerevisiae and S. pombe.
The curve presents the True Positive Rate (Sensitivity) against the False Positive Rate (1-Specificity). Inset: performance at very high specificity (99.95%). H. sapiens has greater sensitivity than all other organisms tested. Note that due to the scaling of the axes, the diagonal random curve appears flat in the inset.