Figure 2
From: Short Co-occurring Polypeptide Regions Can Predict Global Protein Interaction Maps

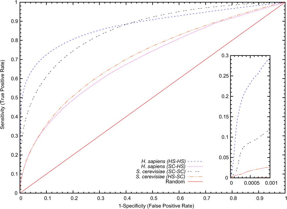
Cross-species prediction.
Here we see the results of using known H. sapiens interactions to predict S. cerevisiae interactions (HS-SC) and known S. cerevisiae interactions to predict H. sapiens interactions (SC-HS) compared to same-species prediction (HS-HS and SC-SC).