Figure 3
From: Short Co-occurring Polypeptide Regions Can Predict Global Protein Interaction Maps

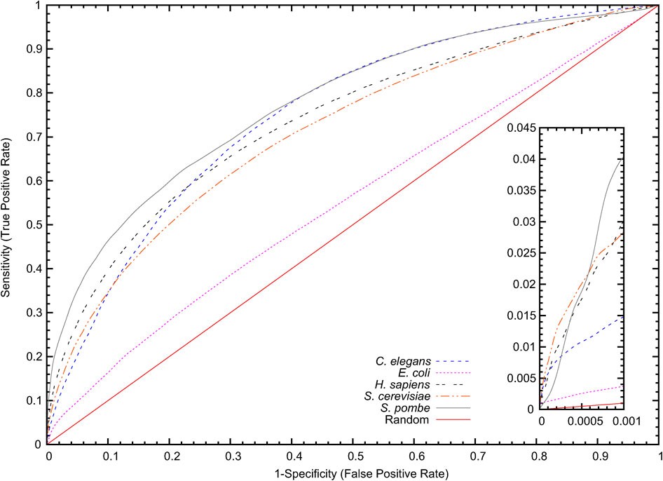
ROC curve illustrating the accuracy of cross-species PPI predictions.
Here, predictions are based on the union of known interactions from several organisms excluding the test organism. Inset: performance at very high specificity (99.95%). Note that due to the scaling of the axes, the diagonal random curve appears flat in the inset.