Figure 2

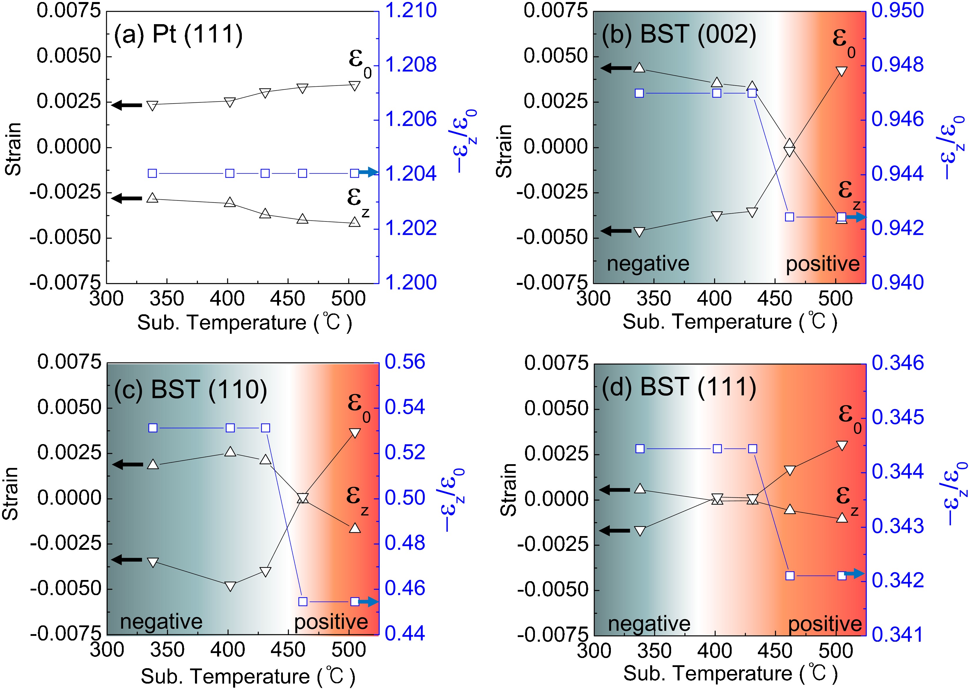
Variation of in-plane and out-of plane strain as a function of substrate temperature of (a) [111]-oriented grain of Pt and those of (b) [002]-, (c) [110]- and (d) [111]-oriented grains of the (Ba,Sr)TiO3 thin films.

Variation of in-plane and out-of plane strain as a function of substrate temperature of (a) [111]-oriented grain of Pt and those of (b) [002]-, (c) [110]- and (d) [111]-oriented grains of the (Ba,Sr)TiO3 thin films.