Figure 3
From: Citrullination as early-stage indicator of cell response to Single-Walled Carbon Nanotubes

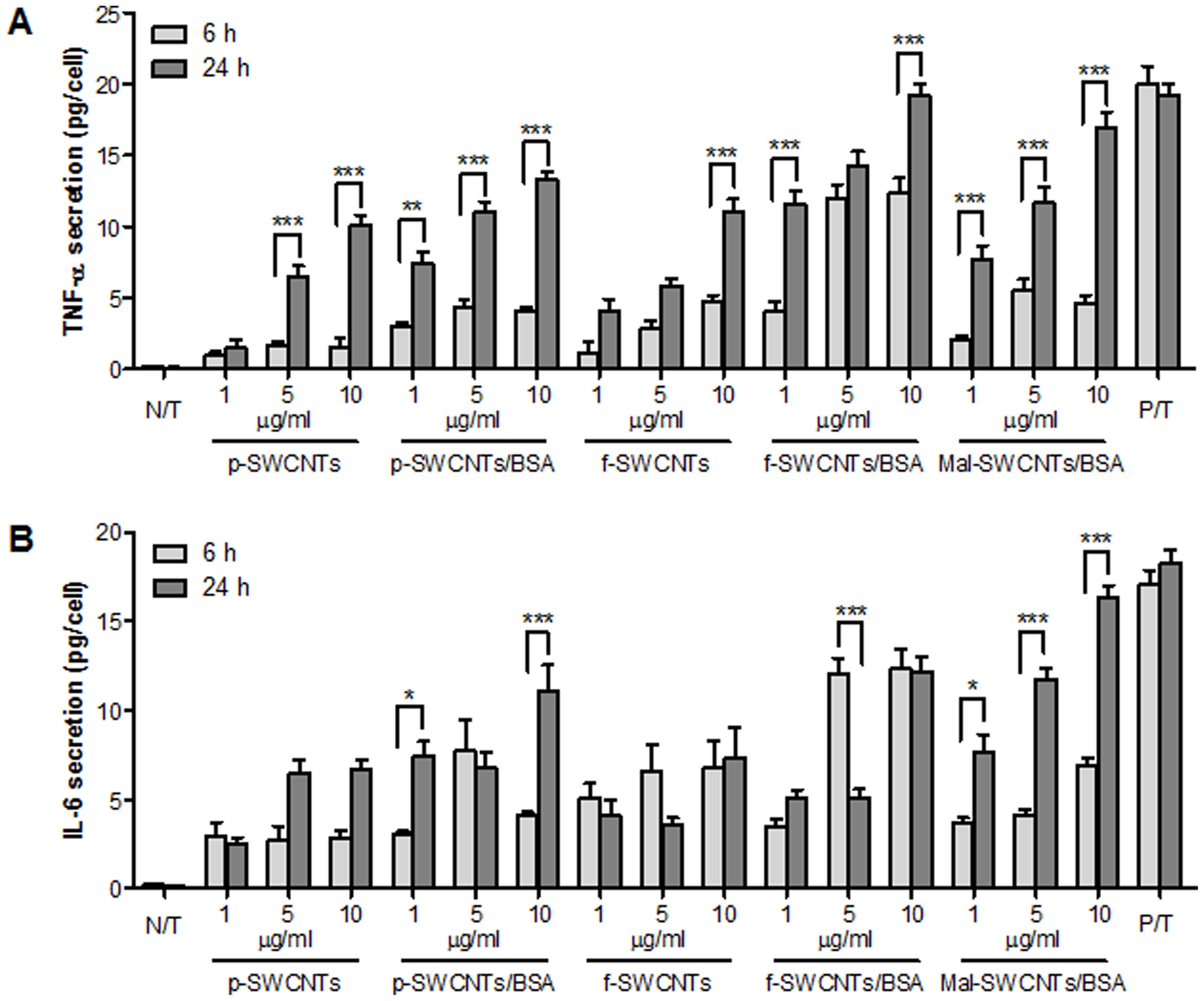
Release of (A) TNF-α and (B) IL-6 from THP-1 cells after 6 h (light grey) and 24 h (dark grey) exposure to p-SWCNTs, p-SWCNTs/BSA, f-SWCNTs, f-SWCNTs/BSA and Mal-SWCNTs/BSA at various concentrations (1, 5 and 10 μg/mL).
The symbols (*), (**) and (***) indicate significant time-dependent changes (p < 0.05, p < 0.01 and p < 0.001, respectively).