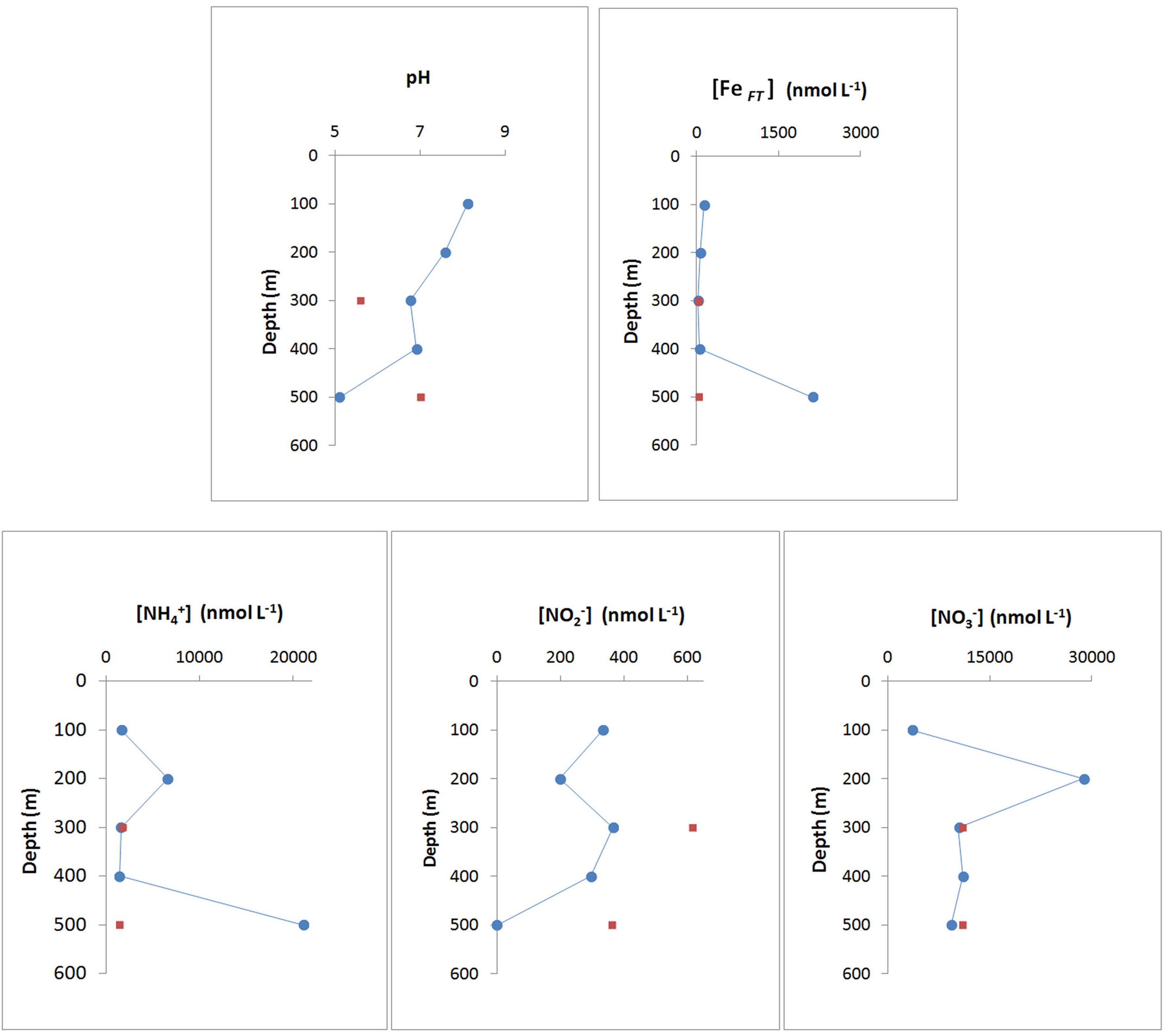
Figure 3

Distribution of pH, FeFT and N species in the sea water column directly above Champagne vent.
Depth profiles (100–500 m) indicate injection of hydrothermal NH4+ and iron from the seafloor to the water column and biological mediated NH4+ oxidation below the euphotic zone. Square symbols denote background measurements at the south side of Kolumbo crater, an area without apparent active venting.