Figure 3
From: Nano-scale hydrogen-bond network improves the durability of greener cements

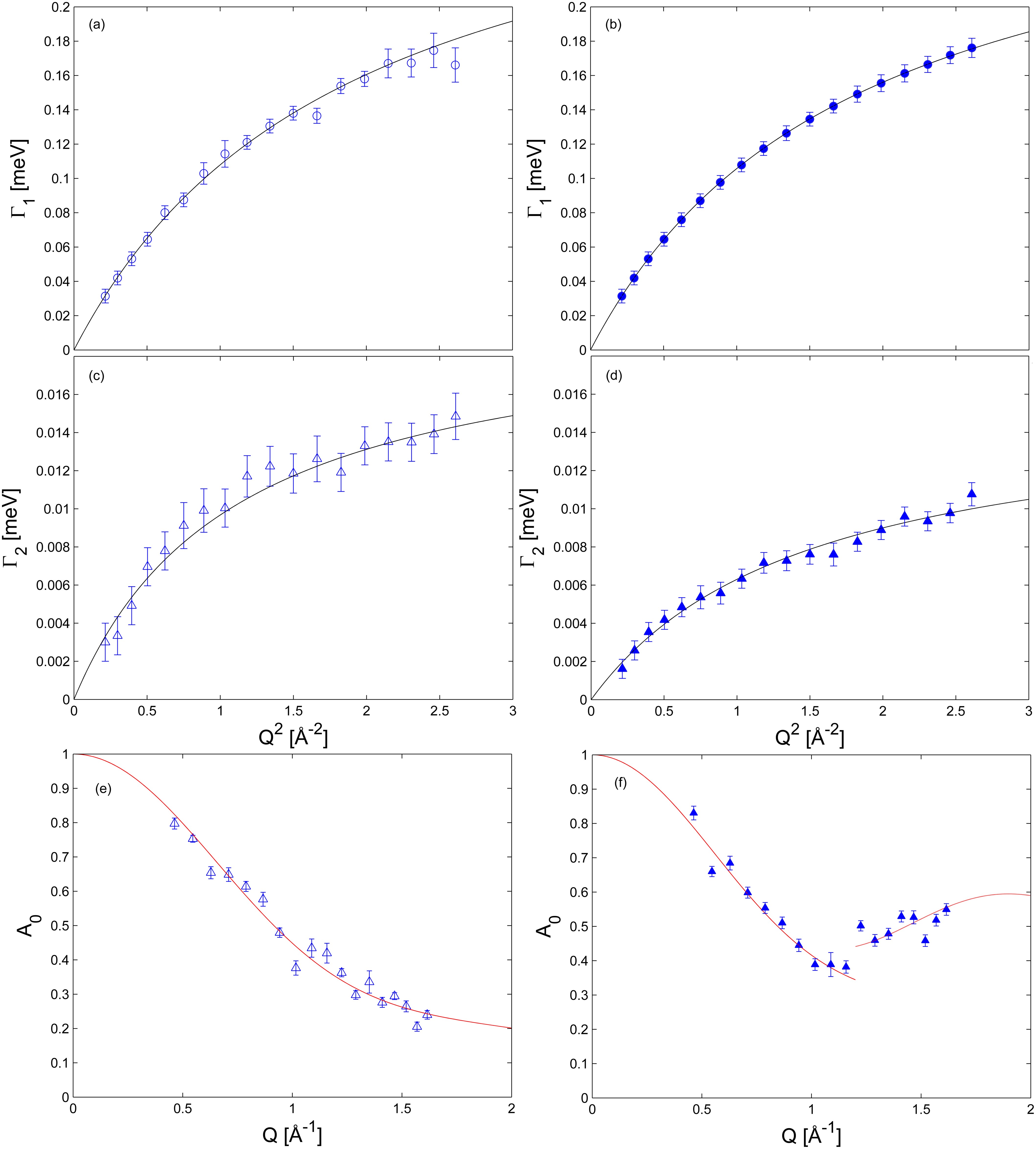
Evolution of the HWHM Γ1 (TOP) and Γ2 (MIDDLE) vs Q2 at 300 K; the line is a linear fit using the Singwi and Sjölander model28 (see text and SI).
For (a) OPC and (b) SCSA. BOTTOM: EISF vs Q obtained from the analysis of quasi-elastic spectra; solid lines were obtained using the models described in the text (see text and SI) for (e) OPC and (f) SCSA.