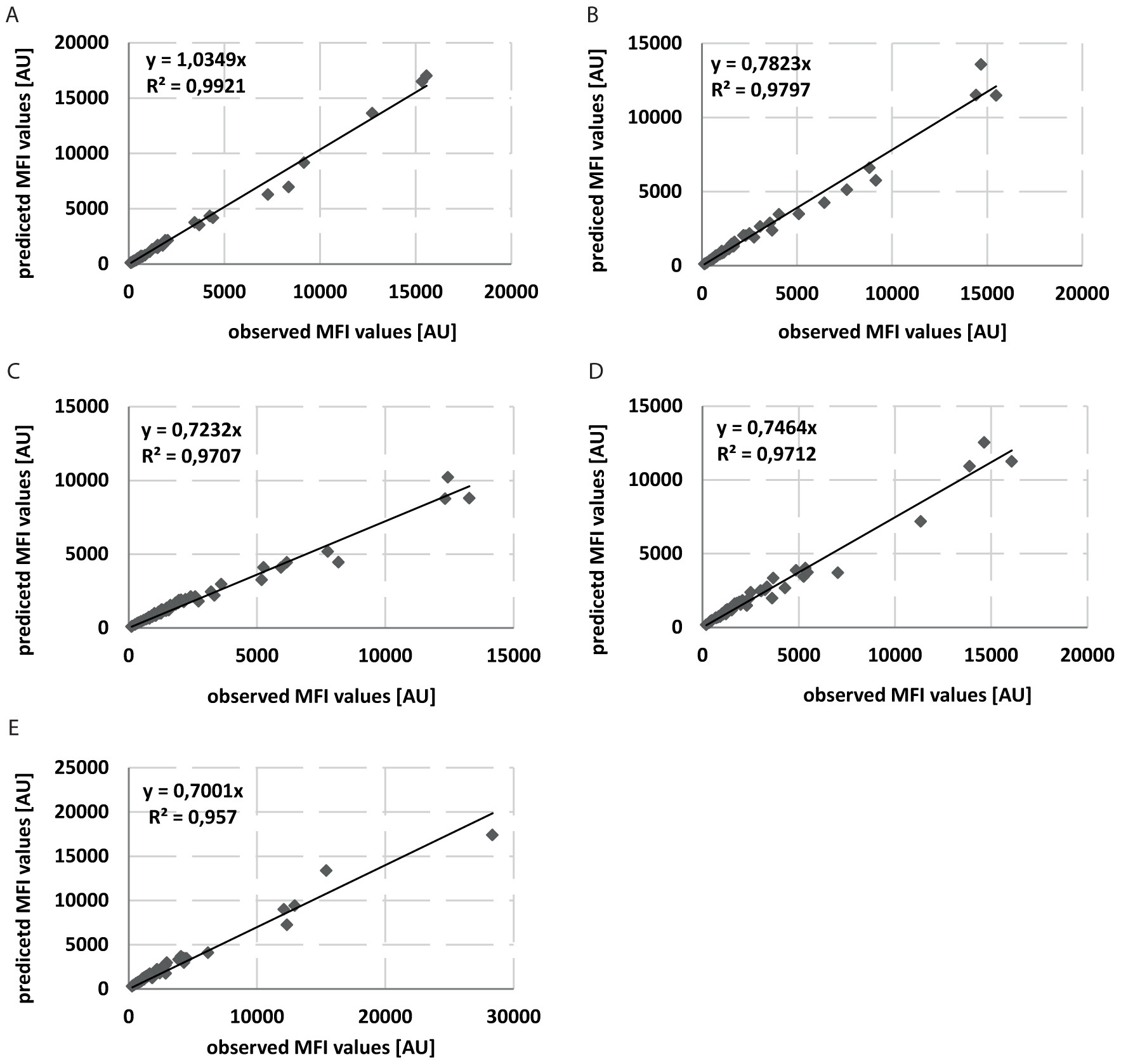
Figure 3
From: Systematic reference sample generation for multiplexed serological assays

Correlation between predicted and measured pool data.
The graphs show the strong correlation between predicted and measured results, although the linear slope is 0.7 for the most complex pool (E). (A) Correlation of prediction and measurement for pool S1 + S2 (B) pool S1 + S2 + S3 (C) pool S1 + S2 + S3 + S4 (D) pool S1 + S2 + S3 + S4 + S5 (E) pool S1 + S2 + S3 + S4 + S5 + S6.