Figure 4
From: Identification of breast cancer patients based on human signaling network motifs

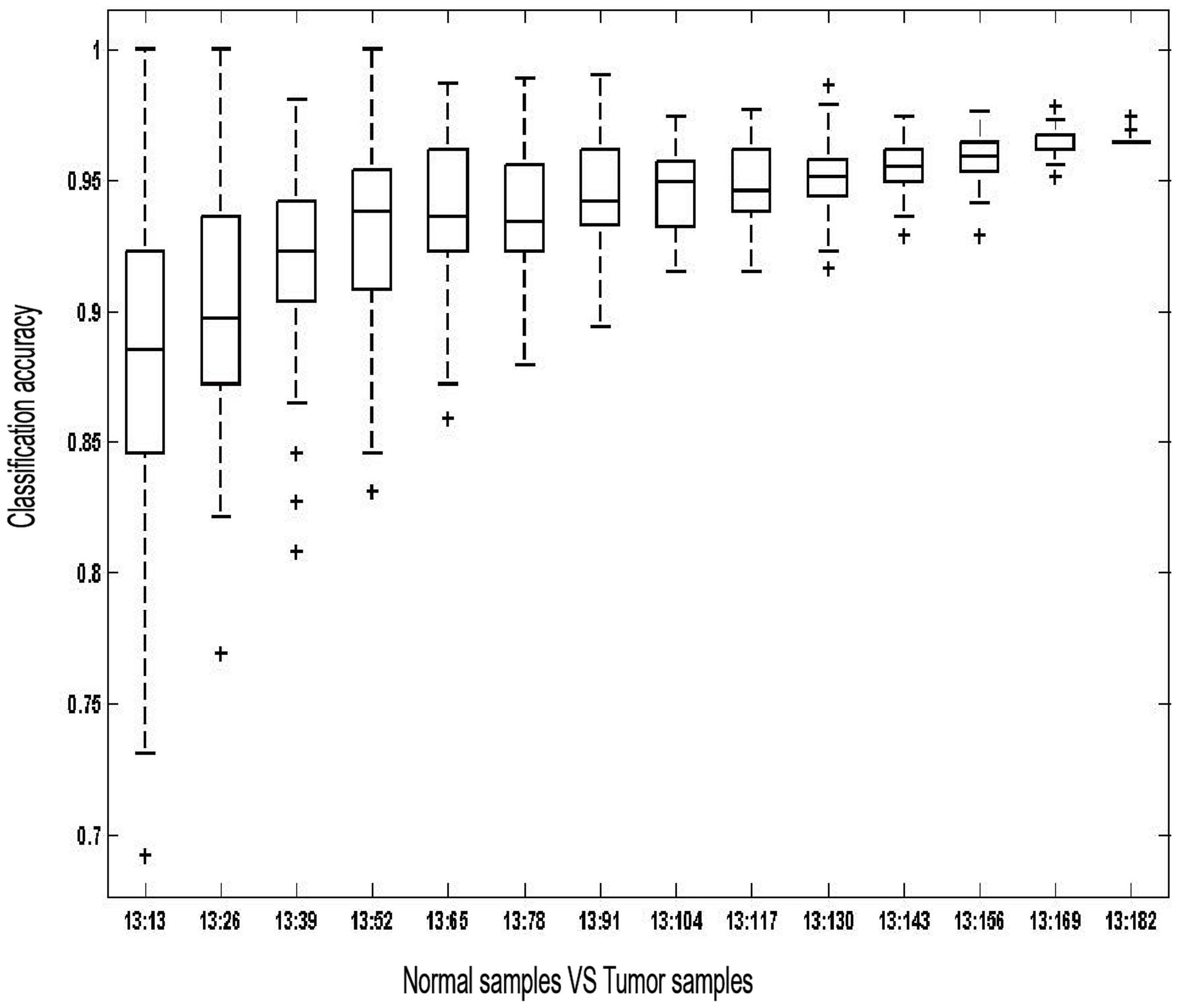
The influence of different sample gradients on classification accuracy.
X-axis: the proportion of normal samples to tumor samples. Y-axis: classification accuracy using the given normal-to-tumor sample proportion. Box plot summarizes 100 randomized selections of normal and tumor samples.