Figure 6
From: Intensity of vortices: from soap bubbles to hurricanes

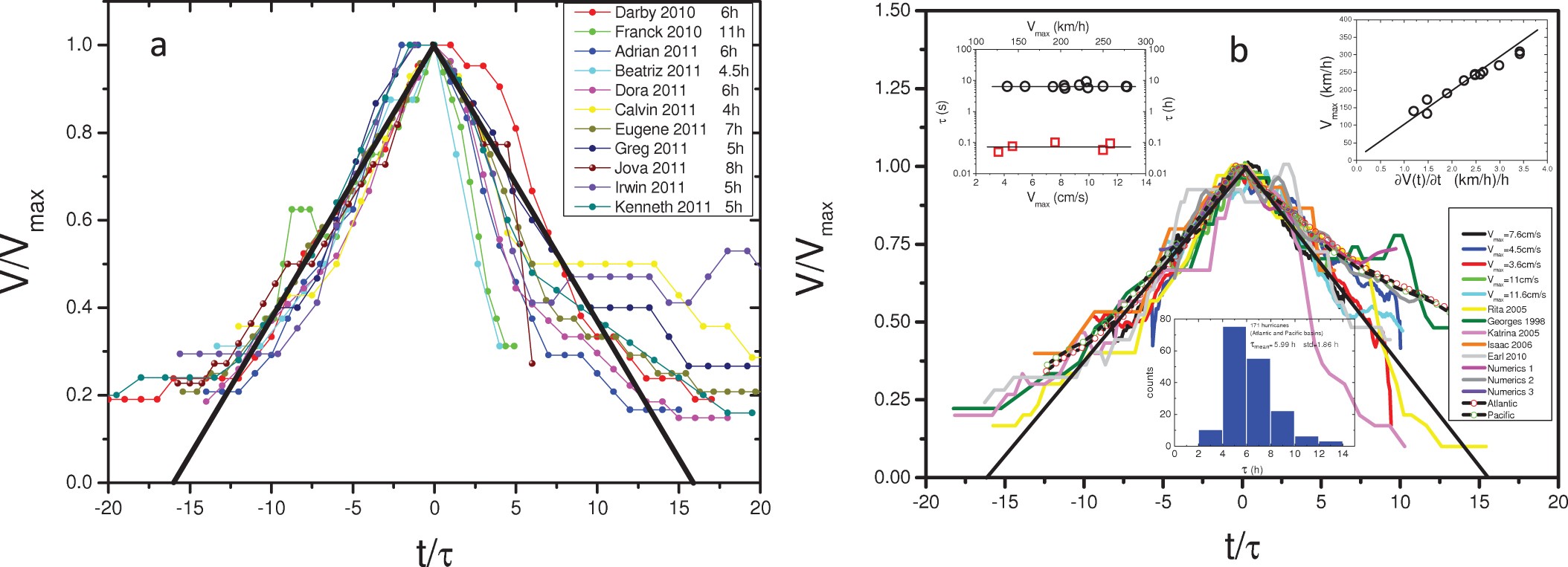
(a) Intensification for several hurricanes in the North Eastern pacific. Here again the time and velocity axis have been normalized as in figure 5.The time constants are given along with the name of the TC in the figure. (b) hurricane intensity (from five different hurricanes in the Atlantic as well as two compilations extracted from29 for the Atlantic and Pacific oceans) and vortex intensity (five different intensification events at a frequency of 0, 0.2 and 0.6 Hz) versus time. Three intensification events from the numerics (using different grids of 512 × 512, 256 × 256 and 2048 × 2048 for the events 1 to 3 respectively) are also shown. The velocity axis has been normalized by the maximum velocity and the time has been normalized by a characteristic time τ and shifted so that the position of the maximum velocity is at zero. The left inset shows the characteristic time versus maximum velocity for the intensification events shown in the main figure and for a few additional hurricanes (Georges 1998, Bill 2009, Rita 2005, Katrina 2005, Beta 2005, Helene 2006, Paloma 2008, Dolly 2008, Omar 2008, Isaac 2006, Earl 2010). The right inset shows the linear relation between intensification rate and maximum velocity for a dozen hurricanes (different from the ones used in the left inset): Opal 1995, Andrew 1992, Hugo 1989, Dean 1989, Gilbert 1988, Gloria 1985, Camille 1969, Igor 2010, Gordon 2006, Florence 2006, Dean 2007, Chris 1994. The bottom inset shows a histogram of the time τ obtained from an analysis of 171 tropical cyclones in the Atlantic and the Pacific oceans. The mean value of τ is 6 hours with a standard deviation of 1.8 hours.