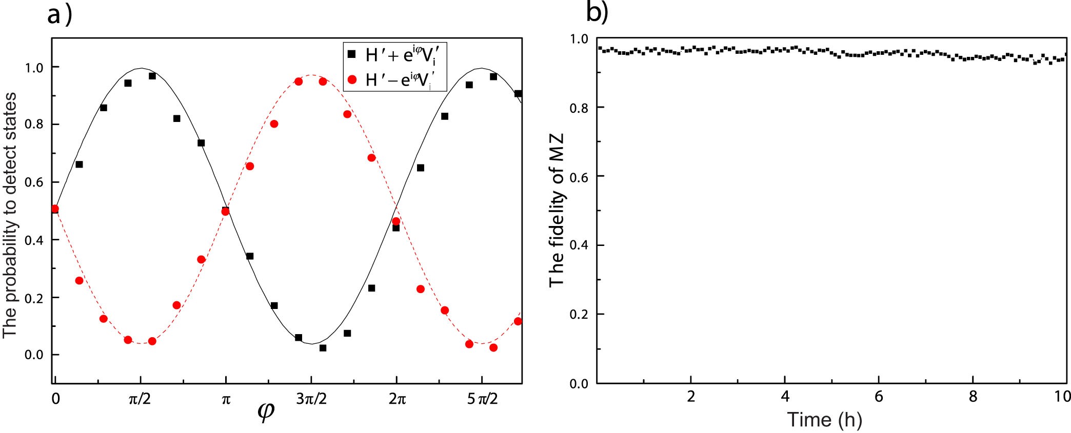
Figure 4

Experimental results of the visibility and the stability of one interferometer.
(a), The phase scanning curves. (b), The passive stability curves (10 hour).

Experimental results of the visibility and the stability of one interferometer.
(a), The phase scanning curves. (b), The passive stability curves (10 hour).