Figure 1
From: Plasmonic Excitations of 1D Metal-Dielectric Interfaces in 2D Systems: 1D Surface Plasmon Polaritons

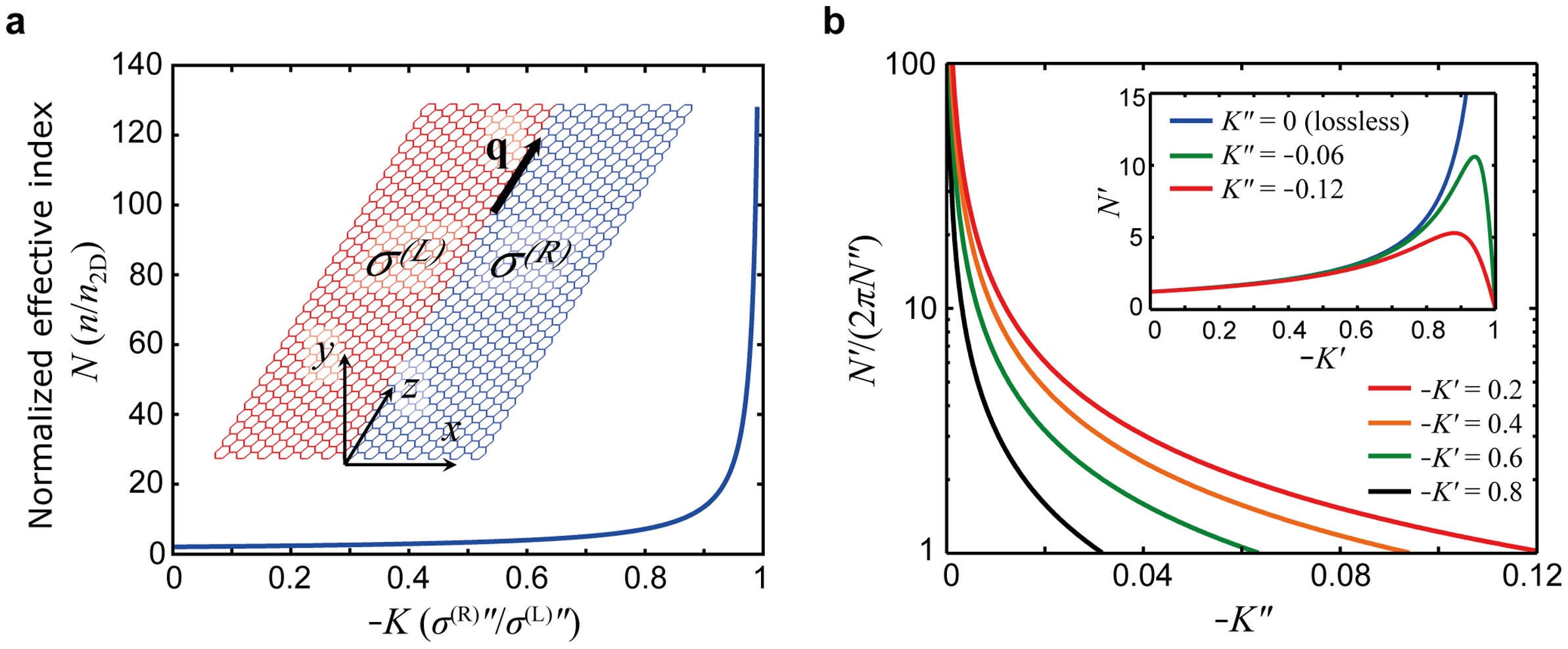
1DMD interface in a hybrid 2D system and dispersion of 1DSPPs.
(a), Effective index n of the 1DMD interface plasmon (1DSPP) normalised to that of planar 2D plasmons in the metallic domain L (n2D) as a function of K = σ(R)″/σ(L)″ (σ(L)″ > 0; σ(R)″ < 0). Inset: Schematic of the considered 2D metal-dielectric system comprising two semi-infinite domains L (x < 0; metallic) and R (x > 0; dielectric) laterally connected along the z axis, with sheet conductivities of σ(L) and σ(R), respectively. We consider a plasmon with a wavevector q = qk that propagates along and is localised to the 1D interface (coinciding with the z axis). (b), K″ dependence of N′/(2πN″) at indicated values of K′. Inset: lossy dispersion of N′ for example values of loss K″ = −0.06 (green), K″ = −0.12 (red), as compared to lossless dispersion (blue).