Figure 4
From: Antiferromagnetic Metal and Mott Transition on Shastry-Sutherland Lattice

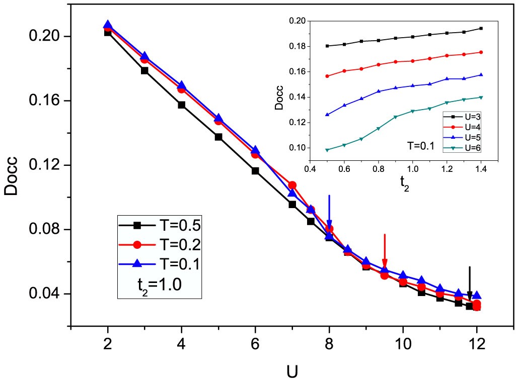
Evolution of double occupancy (Docc) as a function of U for T = 0.1, 0.2 and 0.5 when t2 = 1.0.
The blue, red and black arrows mark the critical U's of Mott transition for T = 0.1, 0.2 and 0.5 and the values are 8, 9.5 and 11.8 respectively. Inset: The evolution of Docc as a function of t2 for different on-site interaction at T = 0.1.