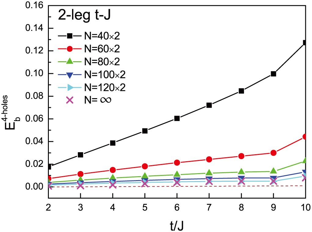
Figure 3
From: Nature of strong hole pairing in doped Mott antiferromagnets

The binding energy of the two pairs in the four hole case, defined as
.
It shows that two hole pairs are repulsive for all the finite systems, indicating that the binding exists only between two holes.