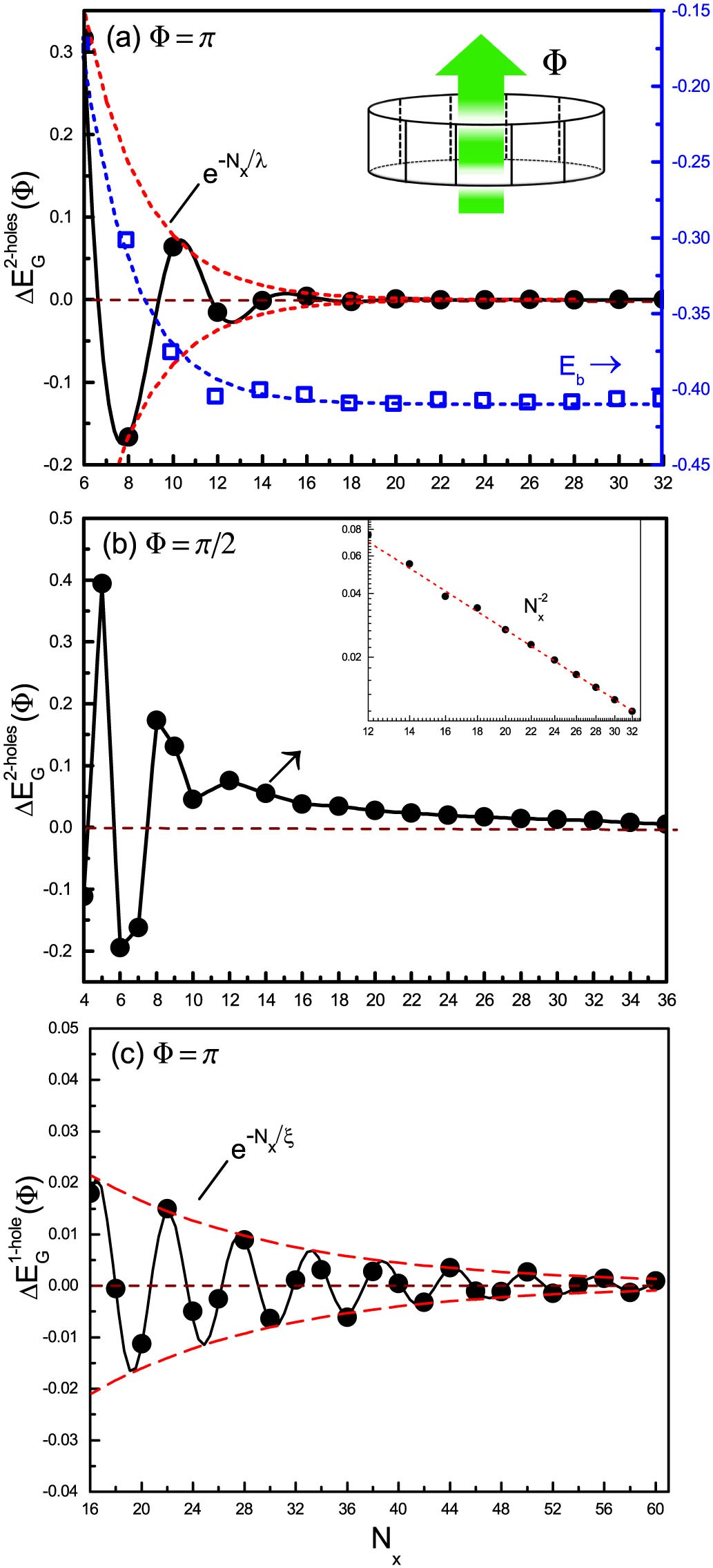
Figure 4
From: Nature of strong hole pairing in doped Mott antiferromagnets

(a) By inserting a flux Φ into a closed ribbon made of a two-leg ladder connected along the long chain direction (the inset), the energy difference between Φ = 0 and Φ ≠ 0:
, is calculated at t = 3J. Here Φ = π corresponds to the flux quantization condition and
oscillates strongly and decays exponentially with a length scale λ ≈ 3, indicating the frustration of the phase string effect and the pairing size. The binding energy Eb as a function of Nx is also presented. (b)
at a non-quantized Φ = π/2 exhibits a power-law decay at large Nx (the inset), indicating that the centre-of-mass motion of the hole pair behaves like a phase-string-free coherent object, which is not shown in (a) because its contribution at Φ = π is the same as Φ = 0 (see the text). (c) For the single-hole case,
also exhibits an oscillation with an envelop of exponential decay, indicating15 the self-localization of the hole with ξ = 14.5 due to the phase string effect.