Figure 3
From: Pressure effect on stabilities of self-Interstitials in HCP-Zirconium

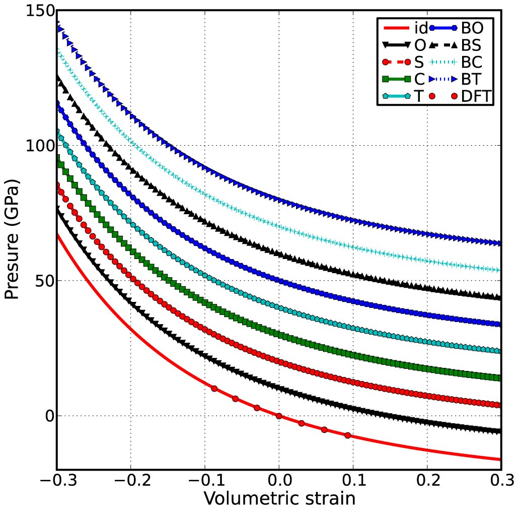
The pressure as a function of volumetric strain (EOS) for ideal system (red line) in a 180-atom unit cell and eight SIAs (O, S, C, T, BO, BS, BC, BT) in scaled 181-atom unit cells.
The pressures of SIAs have 10.0 GPa increment each to avoid overlapping for better view.