Figure 4
From: Pressure effect on stabilities of self-Interstitials in HCP-Zirconium

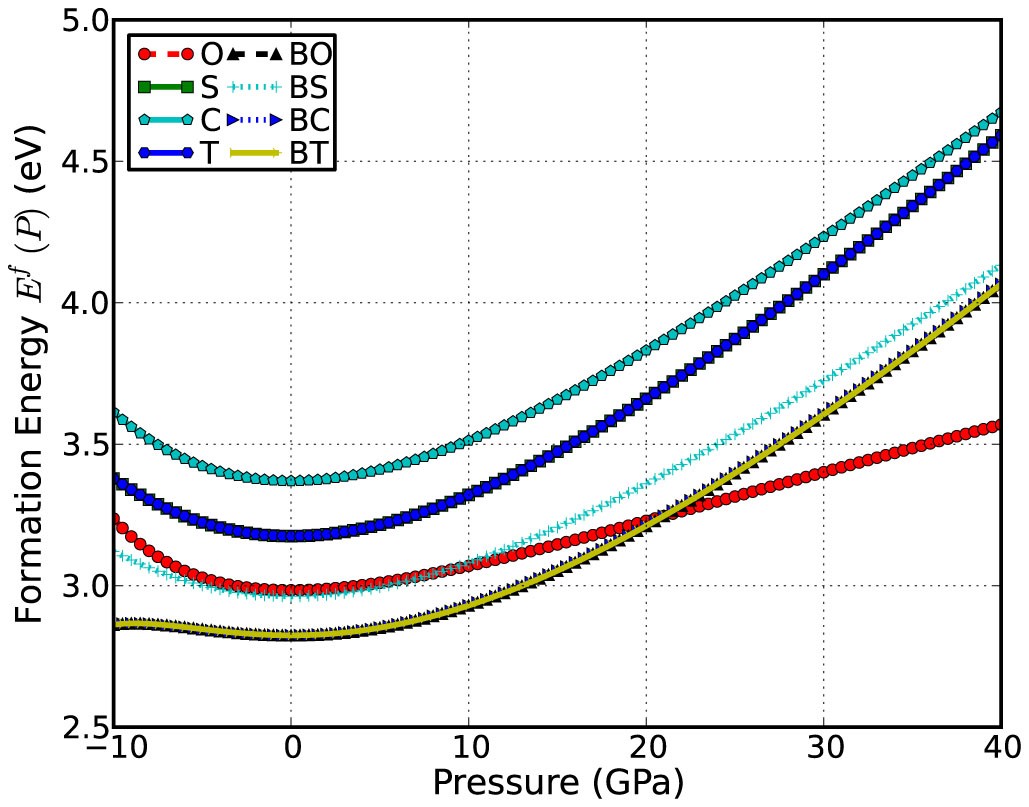
Formation energy of eight SIAs (O, S, C, T, BO, BS, BC, BT) at constant pressure Ef (P) as function of pressure P.
From: Pressure effect on stabilities of self-Interstitials in HCP-Zirconium

Formation energy of eight SIAs (O, S, C, T, BO, BS, BC, BT) at constant pressure Ef (P) as function of pressure P.