Figure 6
From: Pressure effect on stabilities of self-Interstitials in HCP-Zirconium

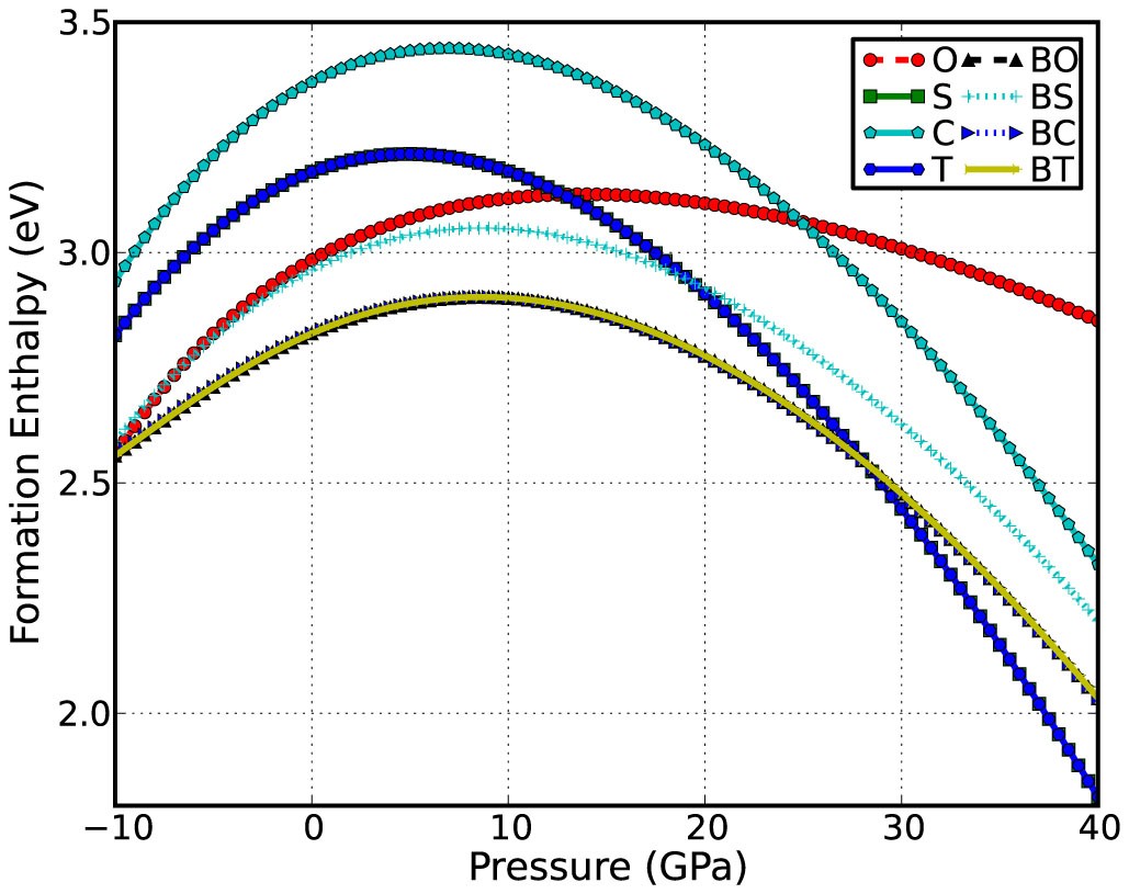
Formation enthalpy Hf (P) of eight SIAs (O, S, C, T, BO, BS, BC, BT) as a function of pressure P.
From: Pressure effect on stabilities of self-Interstitials in HCP-Zirconium

Formation enthalpy Hf (P) of eight SIAs (O, S, C, T, BO, BS, BC, BT) as a function of pressure P.