Figure 4
From: Single Crystalline Co3O4 Nanocrystals Exposed with Different Crystal Planes for Li-O2 Batteries

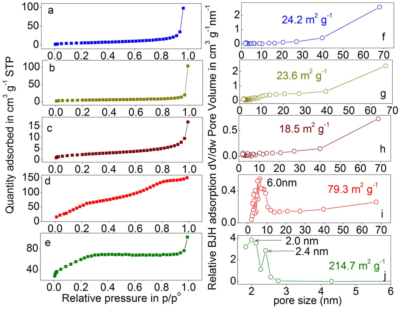
Surface analysis of Co3O4 nanocrystals.
N2 absorption isotherms of (a) Co3O4 nanocubes, (b) pseudo octahedral Co3O4, (c) {110} facets exposed nanosheets, (d) {111} facets exposed hexagonal nanoplatelets and (e) {112} facets exposed nanolaminars. (f–j) are their corresponding pore size distribution, derived from absorption hysteresis of Brunauer-Emmett-Teller (BET) surface area measurement. The surface areas are listed in each subfigure from (f) to (j). The average pore sizes of hexagonal Co3O4 nanoplatelets and Co3O4 nanolaminars are given in (i) and (j).