Figure 7
From: Characteristics of the transmission of autoregressive sub-patterns in financial time series

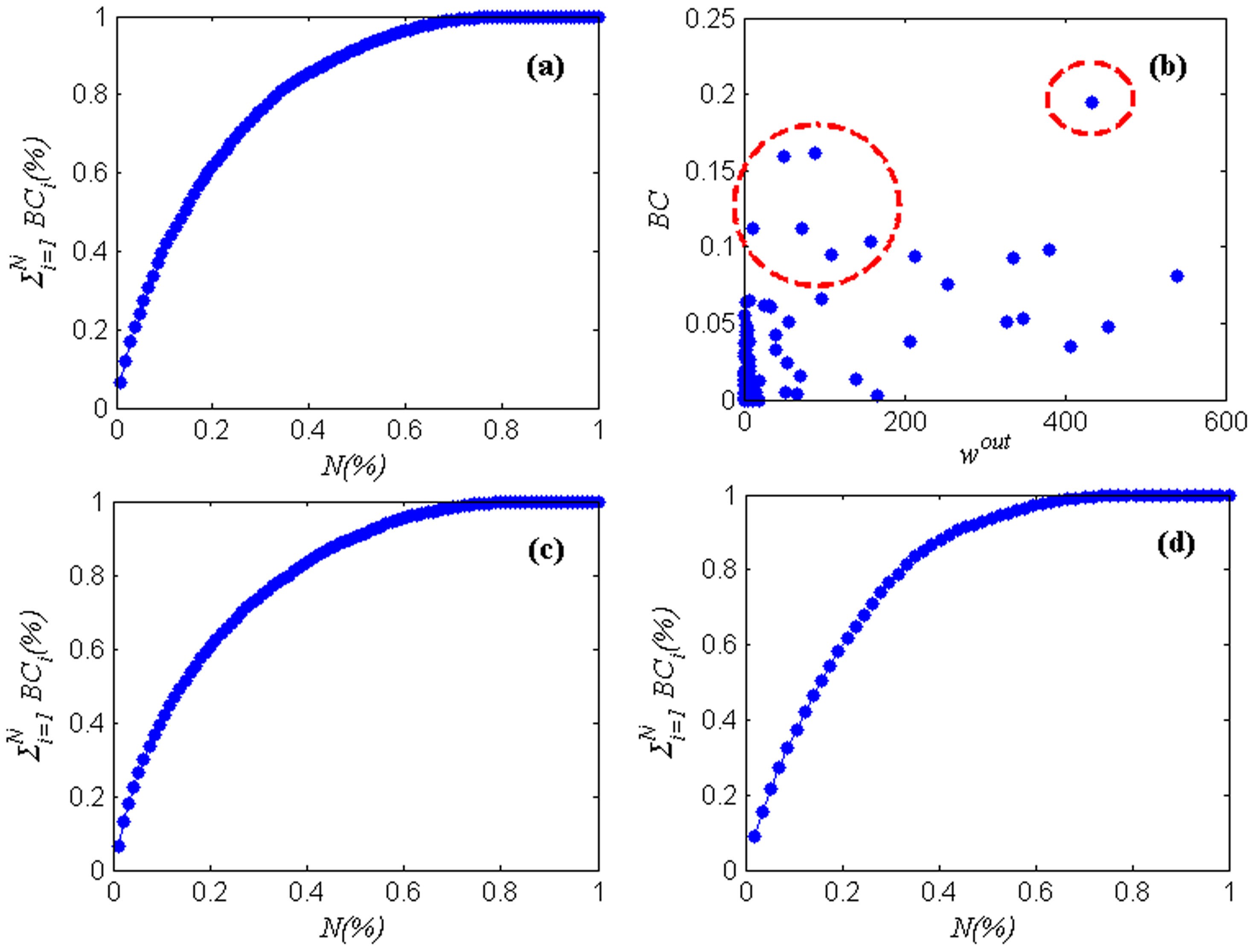
Distributions of the normalised betweenness centrality in TCN.
(a) Cumulative distribution of the normalised betweenness centrality of node (sort by value of the normalised betweenness centrality of nodes in descending order, N = 1,2,…,106, the whole time series). (b) Distribution between weighted out-degree and normalised betweenness centrality. (c) Cumulative distribution of the normalised betweenness centrality of node (sort by value of the normalised betweenness centrality of nodes in descending order, N = 1,2,…,94, the first part of the time series). (d) Cumulative distribution of the normalised betweenness centrality of node (sort by value of the normalised betweenness centrality of nodes in descending order, N = 1,2,…,57, the second part of the time series).