Figure 9
From: Development of very high Jc in Ba(Fe1-xCox)2As2 thin films grown on CaF2

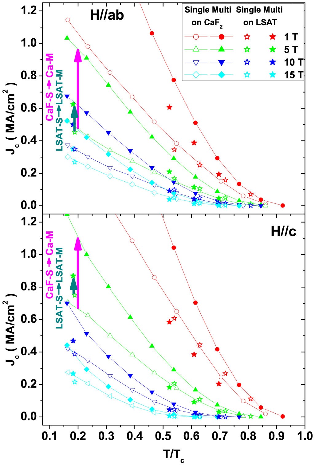
Temperature dependences of Jc for single and multilayer Co-Ba122 films.
The multilayer deposition on CaF2 (lines and closed symbols) increases Jc with respect to the single-layer on CaF2 (lines and open symbols) 2–3 times more effectively than in the LSAT case (closed and open stars for the multi- and single layers, respectively). For instance, the arrows show the Jc(5T) increase going from LSAT-S to LSAT-M (dark green) and from CaF-S to CaF-M (magenta) in the low temperature region.